导语

涌现,是指复杂系统在宏观所展现出来的,无法归约到微观的特性或规律。2013年美国理论神经生物学家 Erik Hoel 尝试将人工智能中的因果和复杂系统中的涌现这两个核心概念结合起来,提出因果涌现(causal emergence)这一概念,来量化系统动力学的因果性强弱。本文全面介绍了因果涌现的概念、量化方法、实例、应用以及与人工智能的联系,并附有因果涌现读书会对相关论文的解读,为了解和学习因果涌现理论提供了一份简明的入门指南。****

研究领域:因果涌现,因果科学,因果涌现量化,复杂网络,人工智能****************** 王志鹏 | 作者

张江、江森-JS | 审校集智百科 | 来源

目录

1 历史

2 基本概念2.1 马尔可夫动力学2.2 粗粒化 3 因果涌现的量化3.1 早期相关工作 3.1.1 计算力学 3.1.2 G-emergence理论3.2 因果涌现的定义 3.2.1 Hoel的粗粒化方法 3.2.2 信息分解方法3.3 因果涌现的识别 3.3.1 信息分解方法 3.3.2 神经信息压缩方法 4 实例4.1 状态空间上的因果涌现4.2 离散布尔网络上的因果涌现4.3 时域空间上的因果涌现4.4 连续空间上的因果涌现 5 应用5.1 在复杂网络上的应用5.2 在生物系统上的应用5.3 在人工神经网络上的应用 6 因果涌现与人工智能6.1 因果涌现与因果表示学习6.2 因果涌现与因果模型抽象6.3 因果涌现与基于世界模型的强化学习 7 参考文献

因果涌现(causal emergence)是指动力系统中一类特殊的涌现现象,即系统在宏观尺度会展现出更强的因果特性。特别地,对于一类马尔可夫动力系统,在对其状态空间进行适当的粗粒化以后,所形成的宏观动力学会展现出比微观更强的因果特性,那么称该系统发生了因果涌现[1][2]。马尔可夫动力系统是指系统在某一时刻的状态仅仅依赖于系统上一时刻所处的状态,而与更早的状态无关。这里的粗粒化是指对系统的状态空间进行约简的一种方法,它往往可以表示为一个具有降维特征的函数映射。所谓的宏观动力学是指在被粗粒化后的新状态空间上的随附的(superveniance)动力学,它完全取决于微观的动力学和粗粒化方式。

1. 历史

涌现一直是复杂系统中的一个重要特性和研究对象,是许多关于复杂性本质以及宏微观组织之间关系讨论的中心概念[3][4]。涌现可以简单理解为整体大于部分之和,即整体上展现出构成它的个体所不具备的新特性[5]。以往对涌现有很多定性的研究,如对涌现的分类等[6],可以将涌现分为强涌现与弱涌现,然而却无法定量的刻画涌现的发生。但是随着近年来因果科学理论得到了进一步的发展,使得可以用数学框架来量化因果,这里因果描述的是一个动力学过程的因果效应[7][8][9]。

同时涌现和因果也是相互联系的:一方面,涌现是复杂系统中各组成部分之间复杂的非线性相互作用的因果效应;另一方面,涌现特性也会对复杂系统中的个体产生因果关系。因此,可以借助因果来定量刻画涌现的发生。2013年美国理论神经生物学家 Erik Hoel 尝试将因果引入涌现的衡量,提出了因果涌现这一概念,并且使用有效信息(Effective Information,简称EI)来量化系统动力学的因果性强弱[1][2]。

因果涌现很好地刻画了系统宏观和微观状态之间的区别与联系,同时把人工智能中的因果和复杂系统中的涌现这两个核心概念结合起来,因果涌现也为学者回答一系列的哲学问题提供一个定量化的视角。比如,可以借助因果涌现框架讨论生命系统或者社会系统中的自上而下的因果等特性。这里的自上而下因果指的是向下因果[6],表示存在宏观到微观的因果效应。例如,壁虎断尾现象,当遇到危险时壁虎不征求尾巴的建议直接将自己的尾巴断掉,这里整体是因,尾巴是果,那么就存在一个整体指向个体的因果力。

2. 因果涌现的基本概念

如果通过合适的粗粒化策略,使得系统在宏观尺度能够展现出比它在微观尺度上具有更强的因果特性的时候,这就发生了因果涌现。其中系统因果关系的强度揭示其未来状态受当前状态影响的程度。值得注意的是,目前研究因果涌现都是建立在马尔可夫动力学系统上,同时也需要使用粗粒化函数。

2.1 马尔可夫动力学

马尔可夫动力学是指系统的下一时刻状态只依赖于系统上一时刻的状态,并且与再之前的状态无关。马尔可夫动力学可以具体分为离散时间、连续时间,离散状态、连续状态,以及它们的组合等多种形式。例如,表中概率转移矩阵就定义了一个离散时间、离散状态上的马尔可夫动力学P(St+1|St),St和St+1分别表示t时刻和t+1时刻的状态:

离散马尔可夫动力学

这是一个离散时间离散状态(S={a,b,c})的马尔可夫动力学中的状态概率转移矩阵,其中每一行、列都对应一个状态,第i行第j列表示状态从第i个状态转移到第j个状态的概率。我们也可以等价地用状态转移图来表示。

马尔可夫状态转移图

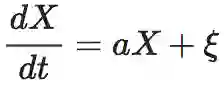
目前对因果涌现的讨论大多集中于这种离散时间、离散状态的马尔可夫动力学。 当然,还存在着连续时间、连续状态的马尔可夫动力学,例如朗之万方程:

其中X为一随机变量,可以从所有实数中取值,a为常数,ξ为一高斯噪声。

2.2 粗粒化

粗粒化是一种通过将系统组件分组为更大、变化更慢的单元来简化系统描述的过程,它通常用于确定系统的基本特征,这些特征决定了系统的宏观行为,而不受微观尺度相互作用等细节的影响。 对于复杂系统来说,粗粒化一般包含了节点(单元)的合并,以及宏观状态的计算两个步骤。粗粒化策略可以将一组微观状态映射到一个特定的宏观状态。此外,人们往往会混用粗粒化与重整化[10][11],确实两者存在很多共同之处,如两者都是对系统进行更加宏观尺度的描述。但是两者也存在区别,粗粒化一般都是对系统的状态进行操作,而重整化一般针对的是系统动力学、配分函数或者规则。粗粒化在不同领域有着不同的表述:下采样、池化等。

3. 因果涌现的量化

3.1 早期相关工作

Hoel等人[1]提出的因果涌现理论之前,已经有一些相关的工作引入与因果涌现理论非常相似的思想。例如,Crutchfield等[12]提出的计算力学理论考虑了因果状态,该方法是对状态空间的划分。而Seth等人则提出了G-emergence理论[13]利用格兰杰因果关系来量化涌现。

**3.1.1 计算力学

计算力学理论试图用定量的框架来表述涌现的因果关系,希望从一个随机过程的观测中构造一个最小的因果模型,从而来产生观测的时间序列[12]。其中随机过程可以用 表示,基于时间t可以将随机过程分为两个部分,时间前和时间后的过程,

,当这个过程是平稳过程时,可以去掉时间。因此,可以将所有可能的历史过程 形成的集合记作 ,所有未来的过程形成的集合记作 可以将 分解为相互排斥又联合全面的子集,形成的集合记为 中的任意子集可以看作是一个状态,定义一个分解函数 。 此外,定义了因果等价的概念,如果 ,则 (表示 的子集)是因果等价的。将历史 的所有因果状态定义为 ,将两个因果状态Si和Sj之间的因果转移概率记为 ,一个随机过程的ϵ−machine被定义为有序对{ϵ,T},是一种模式发现机器,其中ϵ是因果状态函数,T是通过ϵ定义的状态转移矩阵的集合。通过证明ϵ−machine具有最大程度的预测性和最小程度的随机性这两个重要特性,验证了它在某种意义上是最优的。 该方法没有给出涌现的明确定义和定量理论,随后一些研究人员进一步推进了计算力学的发展,Shalizi等[14]在自己的工作中讨论计算力学与涌现的关系,同时在另一个工作中,Shalizi等[15]还将计算力学应用于元胞自动机,并且在更高的描述水平上发现涌现的“粒子”。

关于计算力学,可以观看因果涌现读书会的分享: 薛金鑫:计算力学:模式、预测、结构与简洁性 https://pattern.swarma.org/study_group_issue/259

**

**3.1.2 G-emergence理论

G-emergence理论是Seth于2008年提出的最早对涌现进行定量量化的研究之一[13],基本思想是用非线性格兰杰因果来量化复杂系统中的弱涌现。具体来说,使用二元自回归模型进行预测,当只存在两个变量A和B时,自回归模型存在两个等式,每个等式对应其中一个变量每个时刻值的构成,每个变量的当前时刻值都是由自身变量和另外一个变量在滞后时间范围内的变量以及残差项构成,残差可以理解为预测误差,残差可以用来衡量格兰杰因果(G-causality)的因果效应程度。B作为A的格兰杰因(G-cause)的程度通过两个残差方差之比的对数来计算,其中一个是在省略B的所有项时A的自回归模型的残差,另一个是全预测模型的残差。此外,作者还定义了G-autonomous,表示一个时间序列的过去值可以帮助预测自身的未来值。G-autonomous的程度可以用类似量化格兰因果的方法来测量。 G-emergence 理论图 基于上述G-causality中的两个基本概念,可以来判断涌现的发生 (这里是基于格兰杰因果的涌现的衡量,记作G-emergence)。如果把A理解为宏观变量,B理解为微观变量。发生涌现的条件包含两个:1)A是关于B的G-autonomous;2)B是A的G-cause。其中G-emergence的程度是通过A的G-autonomous的程度与B的平均G-cause的程度的乘积来计算。 Seth提出的G-emergence理论首次尝试使用因果关系来量化涌现现象****,然而,作者使用的因果关系是格兰杰因果,这不是一个严格的因果关系,同时结果也取决于所使用的回归方法。此外,方法的度量指标是根据变量而不是动力学定义的,这意味着结果会依赖于变量的选择。因此,该方法还存在很多不足,Erik等人提出的因果涌现框架能有效解决这些问题。 关于G-emergence理论、涌现的分类、因果涌现的辨识等更多话题,可以观看因果涌现读书会的分享:张江、袁冰:涌现、因果与人工智能https://pattern.swarma.org/study_group_issue/490

3.2 因果涌现的定义

近年来一些研究人员也提出一些定量刻画因果涌现的方法。对于如何定义因果涌现是一个关键问题,有两个代表性工作,分别是Hoel等[1][2]提出的基于粗粒化的方法以及Rosas等[16]提出的基于信息分解的方法。

**

**3.2.1 Hoel 的粗粒化方法

Hoel等[1][2]最早提出因果涌现理论,右图是对该理论框架的一个抽象,其中,横坐标表示时间尺度,纵坐标表示空间尺度。该框架可以看成是一个多层级的系统,存在微观和宏观两种状态。由于微观态往往具有很大的噪音,导致微观动力学的因果性比较弱,所以如果能对微观态进行合适的粗粒化得到噪音更小的宏观态,从而能使得宏观动力学的因果性更强。此外,因果涌现现象的发生意味着,当粗粒化微观状态时,从当前状态传递到下一状态的有效信息量会增加。 因果涌现理论框架 作者借鉴了整合信息的量化方法[17],提出一种因果效应度量指标有效信息(EI)来量化一个马尔可夫动力学的因果性强弱,该指标反应一个特定的状态如何有效地影响系统的未来状态,是系统动力学的内禀属性。具体来说,使用干预操作对上一时刻的状态做干预,然后计算干预分布与在干预的情况下经过动力学的下一时刻分布两者之间的互信息作为因果效应的度量指标, EI的计算公式如下所示:

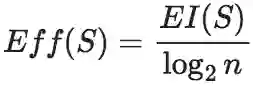
其中st-1和st分别表示t−1和t时刻的系统状态, ,这里do操作表示对状态进行干预并且强行设定上一时刻的状态st-1为均匀分布,这里I表示系统的状态空间,U(I)表示空间上的均匀分布。进行干预操作是为了使得有效信息能客观衡量动力学的因果特性而不受原始输入数据的分布影响。为了消除状态空间大小对有效信息的影响,使得比较不同的尺度下的有效信息是有意义的,作者定义了一个归一化指标有效系数来衡量动力学的因果性强弱,有效系数和有效信息有如下关系:

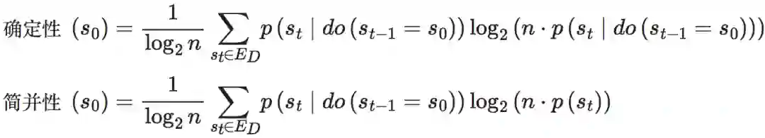
其中n表示系统的状态个数,Eff(S)∈[0,1]。此外,有效系数可以进一步分解为确定性和简并性,Eff(S)=⟨ 确定性 (s0)⟩−⟨ 简并性 (s0)⟩,确定性和简并性的计算公式分别如下所示:

可以通过比较系统中宏微观动力学的有效信息大小来判断因果涌现的发生。如果通过有效的粗粒化使得宏观动力学的有效信息大于微观动力学的有效信息(EI(SM)>EI(Sm)),那么认为在该粗粒化基础上宏观动力学具有因果涌现特性。 关于 Erik Hoel 等人的经典论文,请参看全文翻译《量化因果涌现表明:宏观可以战胜微观》 关于因果涌现的基础理论,可以观看因果涌现读书会的分享: 因果涌现理论提出者:Erik Hoel 主题报告https://pattern.swarma.org/study_group_issue/193

章彦博:因果涌现的理论 https://pattern.swarma.org/study_group_issue/3 岳玉涛:量化因果涌现:当地图优于疆域 https://pattern.swarma.org/study_group_issue/79

**3.2.2 信息分解方法

**

Hoel 提出的基于粗粒化的方法来量化系统中的因果涌现需要预先提供系统的状态转移矩阵以及粗粒化策略,然而现实情况是,往往只能获得系统的观测数据。为了克服这两个困难,Rosas等[16]从信息理论视角出发,提出一种基于信息分解的方法来定义系统中的因果涌现,这里发生因果涌现有两种可能性:因果解耦(Causal Decoupling)和向下因果(Downward Causation),其中因果解耦**表示宏观态对其他宏观态的因果效应,向下因果表示宏观态对于微观元素的因果效应。 具体地,定义微观状态输入为 ,Vt表示宏观状态是Xt的随附特征,Xt+1和Vt+1分别表示下一时刻的微观和宏观状态。该方法建立在Willian和Beer等[18]提出的多元信息非负分解的基础上,Beer使用部分信息分解(PID)将微观态X(X1,X2)与宏观态V之间的互信息分解为四个部分,计算公式如下所示: 其中Red(X1,X2;V)表示冗余信息,是指两个微观态X1和X2同时给宏观态V提供的信息;│Un(X1;V│X2)和│Un(X2;V│X1)表示特有信息,是指每一个微观态单独给宏观态提供的信息;Syn(X1,X2;V)表示协同信息,是指所有微观态X联合给宏观态V提供的超过各自给宏观态提供的信息。 然而,PID框架只能分解关于多个原变量和一个目标变量之间的互信息,Rosas扩展了该框架,提出整合信息分解方法φID[19]来处理多个原变量和多个目标变量之间的互信息,可以用来分解不同时刻间的互信息,作者基于分解后的信息提出了两种因果涌现的定义方法: 1)当特有信息 ,表示当前时刻的宏观态Vt能超过当前时刻的微观态Xt给下一时刻的整体系统Xt+1再多提供一些信息,存在因果涌现; 2)绕开了选择特定的宏观态Vt,仅仅基于系统当前时刻的微观态Xt和下一时刻的微观态Xt+1之间的协同信息定义因果涌现,当协同信息 ,系统发生了因果涌现。其中 衡成立。 值得注意的是,对于方法一判断因果涌现的发生需要依赖宏观态Vt的选择,然而Vt的选择又是很困难的,因此该方法不可行。一种自然的想法就是使用第二种方法借助协同信息来判断因果涌现的发生,但是由于冗余信息存在计算的问题,而协同信息的计算又依赖冗余信息。因此,第二种方法基于协同信息的计算往往也是不可行的。总之,这两种因果涌现的定量刻画方法都存在一些缺点,因此,更加合理的量化方法有待提出。 对Willian和Beer的论文“Nonnegative Decomposition of Multivariate Information”的解读,参看《互信息的“微积分”》; 也可以进一步观看张章在读书会的解读:信息分解方法及其在复杂系统中的应用https://pattern.swarma.org/study_group_issue/227 对 Rosas 等人的论文的全文翻译,参看《量化涌现:信息论方法识别多变量数据中的因果涌现》;也可以进一步观看吕奥博和邓欧在读书会的解读:https://pattern.swarma.org/study_group_issue/239

3.3 因果涌现的识别

前面已经介绍了一些通过因果关系和其他信息理论概念来量化涌现的工作。然而,在实际应用中,往往只能收集到观测数据,无法得到系统的真实动力学。因此,从可观测数据中辨别系统中因果涌现的发生是一个更为重要的问题。此外,在因果涌现的识别问题中往往希望寻找一个最优的宏观尺度,使其有效信息达到最大值,此时的系统具有最大因果力,并且能以最可靠、最有效的方式预测未来的状态。下面介绍两种因果涌现的识别方法,包括基于信息分解和神经信息压缩方法。

**3.3.1 信息分解方法

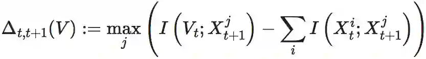
Rosas虽然给出因果涌现的严格定义,但在φID中使用的数学公式很复杂,同时计算要求很高,难以将该方法应用于实际系统。因此,Rosas等绕开特有信息和协同信息的计算[16],提出一个判定因果涌现发生的充分条件,基于互信息提出三个新指标,Ψ ,Δ 和Γ用于识别系统中的因果涌现,三种指标的具体计算公式如下所示: 当Ψ>0时,宏观状态会发生涌现,但是当Ψ<0,我们不能确定V是否发生涌现。 当Δ>0时,宏观状态V发生向下因果。

当Δ>0且Γ=0时,宏观状态V发生因果涌现且发生因果解耦。 该方法避开讨论粗粒化策略。但是也存在很多缺点:1)该方法提出的三个指标 ,Ψ ,Δ 和Γ只是基于互信息计算没有考虑因果,同时该方法得到的仅仅是发生因果涌现的充分条件;2)该方法无法得到显式的宏观动力学以及粗粒化策略,然而这两项对于下游的任务往往十分重要;3)当系统具有大量冗余信息或具有许多变量时,该方法的计算复杂度仍然很高。因此,该方法不是一种最优的方法,基于数据驱动的神经信息压缩方法应运而生。

**

**3.3.2 神经信息压缩方法

近年来,新兴的人工智能技术已经攻克一系列重大难题,同时机器学习方法配备了各种精心设计的神经网络结构和自动微分技术,可以在巨大的函数空间中逼近任何函数。因此,张江等[20]尝试基于神经网络提出了一种基于数据驱动的能够从时间序列数据中识别系统中的因果涌现方法,该方法能自动提取有效的粗粒度策略和宏观动力学,克服了信息分解方法中的种种不足。 在该工作中,输入的是时间序列数据(X1,X2,...,XT),可以使用如下的微方方程表示:

其中ξ表示系统中的噪音。 为了识别系统中的因果涌现,作者提出一种神经信息压缩方法,构建Encoder-Dynamic Learning-Decoder框架,该模型由编码器、动力学学习器以及解码器三个部分构成,用神经网络构建动力学学习器(f),用可逆神经网络(INN)构建编码器(Encoder)和解码器(Decoder)。该模型框架可以看成是一个神经信息压缩器(Neural Information Squeezer,NIS),将包含噪音的微观态压缩成宏观态,丢弃无用的信息,从而使得宏观动力学的因果性更强。NIS方法的模型框架如图所示。 NIS 模型框架图 具体来说,模型输入是微观状态 ,p表示输入数据的维数,输出预测下一个时刻的微观状态 ,该方法的目标函数是希望保证微观状态预测误差很小的条件下最大化有效信息,在保证预测误差约束足够小的情况下,NIS方法可以避免trivial解的出现。具体计算公式如下所示:

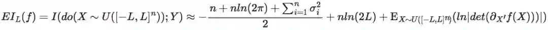
最终希望得到有效的粗粒化维度q、粗粒化策略Φq和宏观动力学 ,然而由于该目标函数是一个泛函优化问题,往往很难优化。为了解决这个问题,作者将优化过程分为两个阶段,第一个阶段表示在给定宏观尺度q的情况下 ,第二阶段将复杂的函数优化问题转换成线性搜索不同的q,使得找到有效信息最大的宏观尺度 。 除了能基于时序数据自动识别因果涌现,该框架还有很好的理论证明,其中有两个重要定理,定理一:神经信息压缩器的信息瓶颈,即对于任意的双射Ψα、投影χq、宏观动力学f以及高斯噪音 恒成立,这意味着,编码器丢弃的所有信息实际上都是与预测无关的纯粹噪声;定理二:对于一个训练好的模型, 。因此,综合定理一和定理二,可以得到对于一个训练好的模型 。 该工作的一个重要优点是,该框架能同时处理离散和连续动力学系统,通过将神经网络看作是给定输入条件下的高斯分布p(Y|X),可以定义新的有效信息计算公式,公式如下所示:

其中U([−L,L]n)表示范围在[−L,L]上的n维均匀分布,σi是输出Yi的标准差,可以通过Yi的均方误差来估计,det表示函数f的雅可比行列式。为了消除有效信息计算公式会受到输入维度的影响,作者定义了新的有效信息计算公式 ,具体公式如下所示:

NIS 框架与前面章节中提到的计算力学存在很多相似之处,NIS可以被视为一种ϵ−machine,所有历史过程构成的集合 可以看作是微观状态,所有 表示宏观状态,函数η可以理解为一种粗粒化函数,ϵ可以理解为一种有效的粗粒化策略,T 对应于有效的宏观动力学。最小随机性特征表征了宏观动力学的确定性,在因果涌现中可以用有效信息衡量。当整个框架训练足够充分的时候,可以精确地预测未来的微观状态时,编码的宏观状态收敛到有效状态,而有效状态可以被视为计算力学中的因果状态。 同时NIS方法与前面提到的G-emergence也有相似之处,例如,NIS同样采用了格兰杰因果的思想:通过预测下一个时间步的微观状态来优化有效的宏观状态。然而,这两个框架之间有几个明显的区别:a)在G-emergence理论中,宏观状态需要人工选择,然后NIS中是通过自动优化粗粒化策略来得到宏观状态;b)NIS使用神经网络来预测未来状态,而G-emergence使用自回归技术来拟合数据。 关于因果涌现的辨识,尤其是NIS方法的讨论,可以观看因果涌现读书会的分享:张江、袁冰:涌现、因果与人工智能https://pattern.swarma.org/study_group_issue/490 张江:复杂系统的因果涌现辩识https://pattern.swarma.org/study_group_issue/437如何从数据中发现因果涌现——神经信息压缩器https://pattern.swarma.org/study_group_issue/373

4. 因果涌现的实例

4.1 状态空间上的因果涌现

下图给出一个含有四个状态的马尔可夫链的状态转移矩阵,其中前三个状态之间等概率转移,最后一个状态是独立的,通过将前三个状态粗粒化成一个状态,可以得到右图确定的宏观系统,即系统的未来状态完全可以由当前状态决定。此时EI(SM)>EI(Sm),系统发生了因果涌现。 状态空间上的因果涌现

4.2 离散布尔网络上的因果涌现

下图展示1个含有4个节点的布尔网络例子,每个节点有0和1两种状态,每个节点与其中两个节点相连,遵循相同的微观动力学机制(a图),因此,一共含有十六个微观状态,可以得到一个16×16的状态转移矩阵(c图),然后给定分组方式,如将A和B进行合并,C和D进行合并(b图),同时给定微观状态到宏观状态的映射函数(d图),就可以得到新的宏观动力学机制,根据这个机制就可以得到宏观网络的状态转移矩阵(e图),通过对比发现宏观动力学的有效信息大于微观动力学的有效信息(EI(SM)>EI(Sm)),系统发生了因果涌现。 离散布尔网络上的因果涌现

4.3 时域空间上的因果涌现

除了对空间进行粗粒化,还可以对时间进行粗粒化如下图所示,考虑两阶马尔可夫动力学,输入为两个时刻t−2和t−1的状态,输出为t和t+1的状态,可以通过EI计算二阶微观动力学的有效信息为1.38bits,然后通过对时间状态分组,令α={At,At+1},β={Bt,Bt+1}, 同时采用与离散布尔网络相同的映射函数,可以得到完全确定且非简并的宏观动力学系统,其有效信息为2 bits,同样实现“宏观打败微观”的效果。 时域空间上的因果涌现

4.4 连续空间上的因果涌现

上述的三个例子都是针对离散的状态系统的因果涌现衡量,Varley尝试将连续系统转换成离散的状态转移图进行比较[21]。作者使用OPN(有序划分网络)方法来离散化Rossler吸引子来创建有限数量的状态以及定义一个状态到另一个状态的转移概率。Rossler吸引子的动力学如下所示:

设定b=2,c=4,a∈{0.37,0.43}间隔为0.001,这里只是基于x的时间序列建立状态网络。OPN方法具体操作如下:输入时间序列x={x1,x2,…,xn},需要将输入嵌入到一个滞后时间为τ的D维空间中, 其中vi={xi,xvi+τ,…xi+(D−1)τ},需要根据vi中的数值进行降序排序重新编号为si={π1,π2,⋯πD}, 其中,πj∈{1,2,…,D},节点序列s表示为s={s1,s2,…,sn-D+1},序列s中不重复的向量构成最终的状态图中的节点,节点i指向节点j的权重表示为s序列中状态si后面为状态sj的次数。对边权进行归一化就可以得到节点间的状态转移概率,然后基于Hoel等人提出网络的有效信息度量方法进行实验,比较系统的确定性、简并性、有效性等指标随着参数a的变化,如下图所示。 系统的确定性、简并性以及有效系数随参数的变化 通过实验比较发现,随着参数a的增大,确定性首先经历了短暂的上升,随后在第一次分叉后立即大幅下降,然后逐渐上升在周期加倍级联开始前达到局部峰值,过了该点,确定性急剧崩溃。一般来说,混沌动力学与较低水平的确定性呈相关关系。此外,简并性和有效信息的曲线变化和确定性曲线变化保持一致。然而,对于因果涌现曲线的变化没有什么有趣现象,它在一个相对恒定的值附近往复振荡,其中存在一个明显的例外,它在周期加倍级联开始时暴跌,如下图所示。 因果涌现随参数的变化 Pavel Chvykov和Erik Hoel等[22]也将因果涌现框架扩展到连续系统,并且假设不确定性是添加到确定性函数中的干扰,研究人员推导出连续系统有效信息的近似形式来衡量因果涌现的发生。

5. 因果涌现的应用

这些定量的量化因果涌现的方法已经广泛应用到很多复杂系统中,包括具有成百上千节点的复杂网络以及神经网络,到具有明显涌现现象的生命游戏、鸟群模型、蛋白质交互、生物以及真实的大脑网络等。

5.1 在复杂网络上的应用

2020年,Klein和Hoel改进此前提出的基于粗粒化的方法并将其应用到复杂网络中[23],作者借助随机游走子来定义网络中的马尔可夫链,将随机游走子放在节点上等价于对节点做干预,然后基于随机游走概率定义节点的转移概率矩阵。同时作者将有效信息与网络的连通性建立联系,网络中的连通性可以通过节点的出边和入边的权重的不确定性来表征,基于此定义复杂网络中的有效信息。 在随机网络(ER)、偏好依赖网络(PA)等人工网络以及四类真实网络中进行实验比较。

对于ER网络来说,有效信息的大小只依赖于连接概率p,并且随着网络规模的增大会收敛到−log2p。同时一个关键发现表明,存在一个相变点,该相变点近似在网络的平均度( )等于log2N的位置,同样对应于ER网络随着连接概率增加而出现巨连通集团的相变点位置,超过该相变点随机网络结构不会随着其规模的增加而包含更多的信息。 * 对于 PA网络来说,α<1.0时,有效信息的大小会随着网络规模的增加而增大;α>1.0时,结论相反;α=1.0对应的无标度网络则是增长的临界边界。

  • 对于真实网络,作者发现,生物网络因为具有很大的噪音,所以有效信息最低,通过有效的粗粒化能去除这些噪音,相比于其他类型网络因果涌现最显著,而技术类型网络是更稀疏、非退化的,因此,平均效率更高,节点关系也更加具体,所有有效信息也最高。

在该文章中作者使用贪婪算法来构建宏观尺度的网络,然而对于大规模网络来说,效率仍然很低。随后,Griebenow等[24]提出了一种基于谱聚类的方法来识别偏好依附网络中的因果涌现。相比贪婪算法以及梯度下降算法,谱聚类算法的计算时间最少,同时找到的宏观网络的因果涌现也更加显著。

关于复杂网络中的因果涌现,参看对Erik Hoel等人的论文解读:《如何通过因果涌现找到复杂网络的合适尺度?

以及江水在因果涌现读书会的分享: https://pattern.swarma.org/study_group_issue/81

关于因果涌现的应用,可以观看王志鹏在因果涌现读书会的分享 因果涌现的应用:从复杂网络到元胞自动机 https://pattern.swarma.org/study_group_issue/493

5.2 在生物系统上的应用

生物网络中充满噪音使得很难理解其内部的运作原理,这种噪音一方面来自系统的固有噪音,另一方面是由于测量或观察引入的, Klein等[25]进一步探索了生物网络中的噪声、简并性和确定性三者之间的关系以及具体含义。例如,基因表达网络中的高度确定性关系可以理解为一个基因几乎肯定会导致另一个基因的表达。同时生物系统在进化过程中也普遍存在简并现象,这两个原因导致目前尚不清楚在何种尺度上分析生物系统才能最好地理解它们的功能。Klein等[26]分析了超过1800个物种的蛋白质相互作用网络,发现宏观尺度的网络具有更小的噪音和简并性,同时与不参与宏观尺度的节点相比,组成宏观尺度交互群中的节点更具有弹性。因此,生物网络为了适应进化的要求,需要演化成宏观尺度以提高确定性来增强网络的弹性以及提高信息传输的有效性。 Hoel等[27]借助有效信息理论进一步研究生物系统中的因果涌现,作者将有效信息应用到基因调控网络中,识别最能提供信息的心脏发育模型从而控制哺乳动物的心脏发育。通过量化酿酒酵母基因网络的最大联通集团的因果涌现,揭示富有信息的宏观尺度在生物学中是普遍存在的,以及生命机制本身也经常运行在宏观尺度上。该方法也为生物学家提供一个可计算的工具来识别最具有信息的宏观尺度,并且可以在此基础上建模、预测、控制和理解复杂的生物系统。 为验证猕猴运动有关的信息是其皮层活动的一个涌现特征,Rosas等尝试基于猕猴的皮质脑电图(ECoG)和动作捕捉(MoCap)数据进行实验,其中ECoG和MoCap分别由64个通道和3个通道的数据构成微观和宏观数据,由于最原始的MoCap数据不满足随附特征的条件独立假设,因此,作者使用偏最小二乘和支持向量机算法推断出与预测猕猴行为有关的编码在ECoG信号中的那部分神经活动,并推测该信息就是潜在神经活动的涌现特征,然后基于计算出来的宏观特征与微观状态验证因果涌现的存在。 Swain等[28]探索蚁群的交互历史对任务分配和任务切换的影响,使用有效信息研究噪声信息如何在蚂蚁之间进行传播。结果发现,蚁群之间历史交互程度影响任务的分配,并且具体交互中蚂蚁群体的类型决定交互中的噪音。此外,即使当蚂蚁切换功能群时,蚁群涌现出来的凝聚力也能保证群体的稳定,同时不同功能蚁群在维持蚁群凝聚力方面也发挥着不同的作用。 关于蛋白质动力学与演化,可以观看因果涌现读书会的分享:傅渥成:复杂系统中稳定的宏观规则的涌现https://pattern.swarma.org/study_group_issue/139为什么蛋白质兼具可塑性与稳定性?从进化视角揭示生命复杂系统的内在平衡》 《蛋白质的动力学和进化之间的对应关系:两个不同时间尺度下的相同故事

5.3 在人工神经网络上的应用

Marrow等[29]尝试引入一个基于信息论的指标即有效信息来量化和跟踪训练过程中DNN因果结构的变化,其中有效信息用于评估节点和边对每层下游目标的因果的影响程度。有效信息可以分解为灵敏性和简并性,通过观察模型训练过程中有效信息,包括灵敏性和简并性的变化就可以确定模型的泛化能力,从而帮助学者更好的理解和解释DNN的工作原理。

6. 因果涌现与人工智能

因果涌现理论与人工智能之间也存在着紧密的联系,重点解释因果涌现识别与因果表示学习、因果模型抽象以及基于世界模型的强化学习之间的区别和联系。

6.1 因果涌现与因果表示学习

因果表示学习是人工智能中的一个新兴领域,它试图将机器学习中的两个重要领域:表示学习和因果推断结合起来。尝试结合两个子领域的优势,自动提取数据背后的重要特征和因果关系[30]。 基于粗粒化的因果涌现识别可以等价于一种因果表示学习任务。从数据中识别因果关系的涌现,等价于学习数据背后的潜在因果关系。具体来说,宏观状态可以看成因果变量,动力学学习器类比因果机制,粗粒化策略可以看作是一个从原始数据到因果表示的编码过程,有效信息可以理解为对机制的因果效应强度的衡量。由于这两者存在很多相似之处,使得两个领域的技术和概念可以相互学习。例如,因果表征学习技术可以应用于识别因果涌现,反过来,学习到的抽象因果表征可以被解释为一种宏观状态,从而增加因果表征学习的可解释性。 但是两者也存在一些差异,主要包括两点:1)因果表示学习假设其背后存在一个真实的因果机制,数据是由这个因果机制产生的,然而宏观层面涌现出的状态和动力学之间可能并不存在“真正的因果关系”;2)因果涌现中的粗粒化后的宏观状态是一种低维的描述,然而因果表示学习中没有这个要求。但是,从认识论的视角看,两者并不存在差异,因为两者所做的都是从观察数据中提取有效信息,从而获得具有因果效应更强的表征。 关于因果涌现与因果表征学习的关系,可以观看因果涌现读书会的分享:陆超超:漫谈因果表征学习https://pattern.swarma.org/study_group_issue/289从因果到涌现:迈向新一代人工智能 | 陆超超博士访谈

6.2 因果涌现与因果模型抽象

在复杂系统中,由于微观状态往往存在噪音,需要将微观状态进行粗粒化得到噪音更小的宏观状态,使得宏观动力学的因果性更强。同样对于因果模型也一样,由于原始模型过于复杂,或者计算资源受限,所以往往需要得到更加抽象的因果模型,并且保证抽象的模型尽可能保持原始模型的因果机制,因果模型抽象讨论的也是因果关系与模型抽象 (可以看成粗粒化过程) 之间的相互作用[31]。因此,因果涌现识别与因果模型抽象有很多相似之处,可以把原始的因果机制理解为微观动力学,抽象出来的机制理解为宏观动力学。 在神经信息压缩框架中(NIS),对粗粒化策略和宏观动力学进行了限制,要求宏观动力学的微观预测误差要足够小以排除平凡解。这个要求也类似于因果模型抽象中希望抽象后的因果模型与原始模型的距离要尽可能相近。但是两者也存在一些不同:1)因果涌现中是对状态或数据进行粗粒化,而因果模型抽象是对模型进行操作;2)因果模型抽象中考虑混肴因子,然而却被因果涌现的讨论忽略。

6.3 因果涌现与基于世界模型的强化学习

基于世界模型的强化学习假设,其内部存在一个世界模型可以模拟智能体所面对的环境的动力学[32]。世界模型的动力学可以通过智能体与环境的相互作用来学习,该动力学也可以帮助智能体对不确定的环境做出计划和决策;同时为了表示复杂的环境,世界模型一定是对环境的粗粒度描述,一个典型的世界模型架构总是包含一个编码器和一个解码器。因此,基于世界模型的强化学习与因果涌现也存在很多相似之处。 世界模型也可以被视为一种宏观动力学,环境中的所有状态可以看作是宏观状态,这些可以看成是压缩后的忽略无关信息的状态,能捕捉环境中最重要的因果特征,以便智能体做出更好的决策。在计划过程中,智能体也可以使用世界模型来模拟真实世界的动力学。 因此,两个领域之间的相似性和共同特征可以帮助我们将一个领域的思想和技术借鉴到另一个领域。例如,具有世界模型的智能体可以将复杂系统作为一个整体来进行相互作用,并从相互作用中获得涌现的因果规律,从而更好的帮助我们做因果涌现识别任务。反过来,最大化有效信息技术也可以用于强化学习,使世界模型具有更强的因果特性。 关于因果涌现与强化学习、世界模型的讨论,可以观看因果涌现读书会的分享:牟牧云:带隐状态的强化学习世界模型https://pattern.swarma.org/study_group_issue/361

作者简介

参考文献1. Hoel E P, Albantakis L, Tononi G. Quantifying causal emergence shows that macro can beat micro[J]. Proceedings of the National Academy of Sciences, 2013, 110(49): 19790-19795.2. Hoel E P. When the map is better than the territory[J]. Entropy, 2017, 19(5): 188.3. Meehl P E, Sellars W. The concept of emergence[J]. Minnesota studies in the philosophy of science, 1956, 1239-252.4. Holland J H. Emergence: From chaos to order[M]. OUP Oxford, 2000.5. Anderson P W. More is different: broken symmetry and the nature of the hierarchical structure of science[J]. Science, 1972, 177(4047): 393-396.6. Fromm J. Types and forms of emergence[J]. arXiv preprint nlin/0506028, 2005.7. Pearl J. Causality[M]. Cambridge university press, 2009.8. Granger C W. Investigating causal relations by econometric models and cross-spectral methods[J]. Econometrica: journal of the Econometric Society, 1969, 424-438.9. Pearl J. Models, reasoning and inference[J]. Cambridge, UK: CambridgeUniversityPress, 2000, 19(2).10. K. G. Wilson, J. Kogut, The renormalization group and the expansion, Physics reports 12 (2) (1974) 75–199.11. J. C. Collins, Renormalization, Cambridge university press, 2023.12. J. P. Crutchfield, K. Young, Inferring statistical complexity, Physical review letters 63 (2) (1989) 105.13. A. K. Seth, Measuring emergence via nonlinear granger causality., in: alife, Vol. 2008, 2008, pp. 545–552.14. C. R. Shalizi, C. Moore, What is a macrostate? subjective observations and objective dynamics, arXiv preprint cond-mat/0303625 (2003).15. C. R. Shalizi, Causal architecture, complexity and self-organization in time series and cellular automata, The University of Wisconsin-Madison, 2001.16. Rosas F E, Mediano P A, Jensen H J, et al. Reconciling emergences: An information-theoretic approach to identify causal emergence in multivariate data[J]. PLoS computational biology, 2020, 16(12): e1008289.17. Tononi G, Sporns O. Measuring information integration[J]. BMC neuroscience, 2003, 41-20.18. Williams P L, Beer R D. Nonnegative decomposition of multivariate information[J]. arXiv preprint arXiv:10042515, 2010.19. P. A. Mediano, F. Rosas, R. L. Carhart-Harris, A. K. Seth, A. B. Barrett, Beyond integrated information: A taxonomy of information dynamics phenomena, arXiv preprint arXiv:1909.02297 (2019).20. Zhang J, Liu K. Neural information squeezer for causal emergence[J]. Entropy, 2022, 25(1): 26.21. Varley T F, Hoel E. Emergence as the conversion of information: A unifying theory[J]. Philosophical Transactions of the Royal Society A, 2022, 380(2227): 20210150.22. P. Chvykov, E. Hoel, Causal geometry, Entropy 23 (1) (2020) 24.23. Klein B, Hoel E. The emergence of informative higher scales in complex networks[J]. Complexity, 2020, 20201-12.24. Griebenow R, Klein B, Hoel E. Finding the right scale of a network: efficient identification of causal emergence through spectral clustering[J]. arXiv preprint arXiv:190807565, 2019.25. Klein B, Swain A, Byrum T, et al. Exploring noise, degeneracy and determinism in biological networks with the einet package[J]. Methods in Ecology and Evolution, 2022, 13(4): 799-804.26. Klein B, Hoel E, Swain A, et al. Evolution and emergence: higher order information structure in protein interactomes across the tree of life[J]. Integrative Biology, 2021, 13(12): 283-294.27. Hoel E, Levin M. Emergence of informative higher scales in biological systems: a computational toolkit for optimal prediction and control[J]. Communicative & Integrative Biology, 2020, 13(1): 108-118.28. Swain A, Williams S D, Di Felice L J, et al. Interactions and information: exploring task allocation in ant colonies using network analysis[J]. Animal Behaviour, 2022, 18969-81.29. Marrow S, Michaud E J, Hoel E. Examining the Causal Structures of Deep Neural Networks Using Information Theory[J]. Entropy, 2020, 22(12): 1429.30. B. Sch ̈olkopf, F. Locatello, S. Bauer, N. R. Ke, N. Kalchbrenner, A. Goyal, Y. Bengio, Toward causal representation learning, Proceedings of the IEEE 109 (5) (2021) 612–634.31. S. Beckers, F. Eberhardt, J. Y. Halpern, Approximate causal abstractions, in: Uncertainty in artificial intelligence, PMLR, 2020, pp. 606–615.32. D. Ha, J. Schmidhuber, World models, arXiv preprint arXiv:1803.10122 (2018). (参考文献可上下滑动查看)

成为VIP会员查看完整内容
70

相关内容

大语言模型的前世、今生与未来
专知会员服务
111+阅读 · 2023年9月8日
【TPAMI2023】面向双任务对话语言理解的关系时序图推理
专知会员服务
23+阅读 · 2023年7月5日
自然语言生成技术及其在军事领域应用
专知会员服务
83+阅读 · 2023年1月6日
周志华教授:开放环境机器学习
专知会员服务
91+阅读 · 2022年9月1日
【ICML2022】ROCK: 关于常识因果关系的因果推理原则
专知会员服务
26+阅读 · 2022年7月21日
【干货书】因果关系的逻辑理论,541页pdf
专知会员服务
81+阅读 · 2022年6月29日
弗里堡大学教授Martin新书《因果分析》,365页pdf
专知会员服务
148+阅读 · 2022年2月12日
专知会员服务
23+阅读 · 2021年9月16日
专知会员服务
14+阅读 · 2021年1月18日
【上海交大】半监督学习理论及其研究进展概述
专知会员服务
71+阅读 · 2019年10月18日
寻找领域不变量:从生成模型到因果表征
PaperWeekly
1+阅读 · 2022年10月11日
因果效应估计组合拳:Reweighting和Representation
PaperWeekly
0+阅读 · 2022年9月2日
周志华教授:开放环境机器学习
专知
4+阅读 · 2022年9月1日
论文浅尝 | 探索用于归纳型知识图谱补全的关系语义
开放知识图谱
3+阅读 · 2022年8月19日
【数字孪生】数字孪生技术从概念到应用
产业智能官
95+阅读 · 2020年2月16日
事理图谱:事件演化的规律和模式
哈工大SCIR
34+阅读 · 2019年7月19日
997篇-历史最全生成对抗网络(GAN)论文串烧
深度学习与NLP
16+阅读 · 2018年6月26日
现代情感分析方法
算法与数学之美
14+阅读 · 2018年1月12日
国家自然科学基金
3+阅读 · 2015年12月31日
国家自然科学基金
0+阅读 · 2015年12月31日
国家自然科学基金
1+阅读 · 2015年12月31日
国家自然科学基金
0+阅读 · 2015年12月31日
国家自然科学基金
1+阅读 · 2015年12月31日
国家自然科学基金
1+阅读 · 2015年12月31日
国家自然科学基金
0+阅读 · 2014年12月31日
国家自然科学基金
0+阅读 · 2014年12月31日
国家自然科学基金
6+阅读 · 2014年12月31日
国家自然科学基金
21+阅读 · 2013年12月31日
A Survey of Large Language Models
Arxiv
501+阅读 · 2023年3月31日
Arxiv
10+阅读 · 2020年11月26日
Augmentation for small object detection
Arxiv
13+阅读 · 2019年2月19日
VIP会员
最新内容
以色列-美国-伊朗战争中的无人机:关键要点
专知会员服务
1+阅读 · 今天14:04
《Palantir任务保障性软件安全标准(MA-S2)》
专知会员服务
5+阅读 · 今天13:49
基于声学的无人机检测技术综述
专知会员服务
4+阅读 · 今天13:37
《当代混合战争分析框架:俄乌战争经验教训》
专知会员服务
4+阅读 · 今天13:11
战略前沿人工智能的再思考(中文)
专知会员服务
7+阅读 · 5月29日
《量化地基防空系统间接效应的博弈论方法》
专知会员服务
5+阅读 · 5月29日
“史诗怒火行动”中美军损失的作战飞机
专知会员服务
6+阅读 · 5月29日
ICML 2026 | 理解上下文持续学习中的泛化与遗忘
专知会员服务
5+阅读 · 5月28日
相关VIP内容
大语言模型的前世、今生与未来
专知会员服务
111+阅读 · 2023年9月8日
【TPAMI2023】面向双任务对话语言理解的关系时序图推理
专知会员服务
23+阅读 · 2023年7月5日
自然语言生成技术及其在军事领域应用
专知会员服务
83+阅读 · 2023年1月6日
周志华教授:开放环境机器学习
专知会员服务
91+阅读 · 2022年9月1日
【ICML2022】ROCK: 关于常识因果关系的因果推理原则
专知会员服务
26+阅读 · 2022年7月21日
【干货书】因果关系的逻辑理论,541页pdf
专知会员服务
81+阅读 · 2022年6月29日
弗里堡大学教授Martin新书《因果分析》,365页pdf
专知会员服务
148+阅读 · 2022年2月12日
专知会员服务
23+阅读 · 2021年9月16日
专知会员服务
14+阅读 · 2021年1月18日
【上海交大】半监督学习理论及其研究进展概述
专知会员服务
71+阅读 · 2019年10月18日
相关资讯
寻找领域不变量:从生成模型到因果表征
PaperWeekly
1+阅读 · 2022年10月11日
因果效应估计组合拳:Reweighting和Representation
PaperWeekly
0+阅读 · 2022年9月2日
周志华教授:开放环境机器学习
专知
4+阅读 · 2022年9月1日
论文浅尝 | 探索用于归纳型知识图谱补全的关系语义
开放知识图谱
3+阅读 · 2022年8月19日
【数字孪生】数字孪生技术从概念到应用
产业智能官
95+阅读 · 2020年2月16日
事理图谱:事件演化的规律和模式
哈工大SCIR
34+阅读 · 2019年7月19日
997篇-历史最全生成对抗网络(GAN)论文串烧
深度学习与NLP
16+阅读 · 2018年6月26日
现代情感分析方法
算法与数学之美
14+阅读 · 2018年1月12日
相关基金
国家自然科学基金
3+阅读 · 2015年12月31日
国家自然科学基金
0+阅读 · 2015年12月31日
国家自然科学基金
1+阅读 · 2015年12月31日
国家自然科学基金
0+阅读 · 2015年12月31日
国家自然科学基金
1+阅读 · 2015年12月31日
国家自然科学基金
1+阅读 · 2015年12月31日
国家自然科学基金
0+阅读 · 2014年12月31日
国家自然科学基金
0+阅读 · 2014年12月31日
国家自然科学基金
6+阅读 · 2014年12月31日
国家自然科学基金
21+阅读 · 2013年12月31日
微信扫码咨询专知VIP会员