博客 | 「融合」机器学习模型:一种提升预测能力的方法

2018 年 9 月 21 日 AI研习社

本文首发于微调的知乎专栏「数据说」。


没有哪个机器学习模型可以常胜,如何找到当前问题的最优解是一个永恒的问题。

幸运的是,结合/融合/整合 (integration/ combination/ fusion)多个机器学习模型往往可以提高整体的预测能力。这是一种非常有效的提升手段,在多分类器系统(multi-classifier system)和集成学习(ensemble learning)中,融合都是最重要的一个步骤。

一般来说,模型融合或多或少 都能提高的最终的预测能力,且一般不会比最优子模型差。举个实用的例子,Kaggle比赛中常用的stacking方法就是模型融合,通过结合多个各有所长的子学习器,我们实现了更好的预测结果。基本的理论假设是:不同的子模型在不同的数据上有不同的表达能力,我们可以结合他们擅长的部分,得到一个在各个方面都很“准确”的模型。当然,最基本的假设是子模型的误差是互相独立的,这个一般是不现实的。但即使子模型间的误差有相关性,适当的结合方法依然可以各取其长,从而达到提升效果。

我们今天介绍几种简单、有效的模型结合方法。


1. 案例分析

让我们给出一个简单的分析。假设我们有天气数据X和对应的标签y,现在希望实现一个可以预测明天天气的模型。但我们并不知道用什么算法效果最好,于是尝试了十种算法,包括

  • 算法1: 逻辑回归 - 

  • 算法2:支持向量机(SVM)- 

  • ...

  • 算法10:随机森林 - 

结果发现他们表现都一般,在验证集上的误分率比较高。我们现在期待找到一种方法,可以有效提高最终预测结果。


2. 平均法/投票法

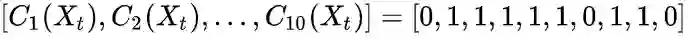
一种比较直白的方法就是对让10个算法模型同时对需要预测的数据进行预测,并对结果取平均数/众数。假设10个分类器对于测试数据  的预测结果是,那很显然少数服从多数,我们应该选择1作为  的预测结果。如果取平均值的话也可以那么会得到0.7,高于阈值0.5,因此是等价的。

但这个时候需要有几个注意的地方:

首先,不同分类器的输出结果取值范围不同,不一定是[0,1],而可以是无限定范围的值。举例,逻辑回归的输出范围是0-1(概率),而k-近邻的输出结果可以是大于0的任意实数,其他算法的输出范围可能是负数。因此整合多个分类器时,需要注意不同分类器的输出范围,并统一这个取值范围。

  • 比如可以先转化为如二分类结果,把输出的范围统一后再进行整合。但这种方法的问题在于我们丢失了很多信息,0.5和0.99都会被转化为1,但明显其可靠程度差别很大。

  • 也可以转化为排序(ranking),再对不同的ranking进行求平均。

  • 更加稳妥的方法是对每个分类器的输出结果做标准化,也就是调整到正态分布上去。之后就可以对多个调整后的结果进行整合。同理,用归一化也可以有类似的效果。

其次,就是整合稳定性的问题。采用平均法的另一个风险在于可能被极值所影响。正态分布的取值是 ,在少数情况下平均值会受到少数极值的影响。一个常见的解决方法是,用中位数(median)来代替平均数进行整合。

同时,模型整合面临的另一个问题是子模型良莠不齐。如果10个模型中有1个表现非常差,那么会拖累最终的效果,适得其反。因此,简单、粗暴的把所有子模型通过平均法整合起来效果往往一般。


3. 寻找优秀的子模型

不难看出,一个较差的子模型会拖累整体的集成表现,那么这就涉及到另一个问题?什么样的子模型是优秀的。

一般来说,我们希望子模型:准而不同 -> accurate but diversified。好的子模型应该首先是准确的,这样才会有所帮助。其次不同子模型间应该有差别,比如独立的误差,这样作为一个整体才能起到互补作用。

因此,如果想实现良好的结合效果,就必须对子模型进行筛选,去粗取精。在这里我们需要做出一点解释,我们今天说的融合方法和bagging还有boosting中的思路不大相同。bagging和boosting中的子模型都是很简单的且基数庞大,而我们今天的模型融合是结合少量但较为复杂的模型。


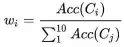
4. 筛选方法:赋予不同子模型不同的权重

因此我们不能再简单的取平均了,而应该给优秀的子模型更大的权重。在这种前提下,一个比较直白的方法就是根据子模型的准确率给出一个参考权重,子模型越准确那么它的权重就更大,对于最终预测的影响就更强:  。简单取平均是这个方法的一个特例,即假设子模型准确率一致。


5. 更进一步:学习分类器权重

在4中提到的方法在一定程度上可以缓解问题,但效果有限。那么另一个思路是,我们是否可以学习每个分类器的权重呢?

答案是肯定,这也就是Stacking的核心思路。通过增加一层来学习子模型的权重。

图片来源:https://www.quora.com/What-is-stacking-in-machine-learning

更多有关于stacking的讨论可以参考我最近的文章:「Stacking」与「神经网络」。简单来说,就是加一层逻辑回归或者SVM,把子模型的输出结果当做训练数据,来自动赋予不同子模型不同的权重。

一般来看,这种方法只要使用得当,效果应该比简单取平均值、或者根据准确度计算权重的效果会更好。


6. 再进一步:挖掘局部关系

上面提到的方法,都有一个不可避免的问题,那就是对于问题处理是全局的(global)。一个分类器不一定在每个局部上表现都好,而我们赋予的全局权重会无差别的认为:”一个子模型在全局的表现上一致“,这是不现实的。

因此,另一个非常有效的融合方法就是:动态分类器选择(Dynamic Classifier Selection),简称DCS。DCS的思路是,当我们遇到一个新的数据需要去预测时,我们首先找到训练数据中和新数据临近的k个数据,一般这个搜寻可以通过k-近邻来实现。找到以后,我们只需要找到在k个相邻的训练数据构成的局部空间上,选择表现最好的分类器。它可能是逻辑回归,也可能是SVM,但思路是找到最好的那一个即可。

这种做法的最大优点是考虑到了不同分类器在不同局部的表现能力可能有差异,不该默认分类器的全局表现一样。在这个基础上,研究人员还提出 动态集成选择(Dynamic Ensemble Selection),DES的区别在于目标是找到局部上表现较好的几个子模型来共同预测,可以理解为集成上的集成。

当然,天下没有免费的午餐,使用DCS和DES的最大弊端就是运算开销。与简单的平均相比,这种繁复的方法有很高的时间复杂度。


7. 总结

模型融合的重要意义在于:我们可以在有限的数据上提高最终的预测能力。虽然我们身处深度学习的时代,但很多问题并不具备深度学习所需要的数据量。在这种情况下,良好的挖掘特征,结合不同的子模型的长处,就是一种人工的表示学习。

登录查看更多
0

相关内容

专知会员服务
81+阅读 · 2020年6月20日
【CVPR2020-北京大学】自适应间隔损失的提升小样本学习
专知会员服务
85+阅读 · 2020年6月9日
斯坦福2020硬课《分布式算法与优化》
专知会员服务
123+阅读 · 2020年5月6日
【经典书】精通机器学习特征工程,中文版,178页pdf
专知会员服务
360+阅读 · 2020年2月15日
【新书】Pro 机器学习算法Python实现,379页pdf
专知会员服务
204+阅读 · 2020年2月11日
【华侨大学】基于混合深度学习算法的疾病预测模型
专知会员服务
97+阅读 · 2020年1月21日
【斯坦福&Google】面向机器人的机器学习,63页PPT
专知会员服务
26+阅读 · 2019年11月19日
一文读懂线性回归、岭回归和Lasso回归
CSDN
34+阅读 · 2019年10月13日
LASSO回归与XGBoost:融合模型预测房价
论智
32+阅读 · 2018年8月8日
已删除
将门创投
4+阅读 · 2018年6月12日
超级干货 :一文读懂集成学习(附学习资源)
数据分析
9+阅读 · 2017年10月30日
三大特征选择策略,有效提升你的机器学习水准
深度学习世界
8+阅读 · 2017年10月24日
BAT机器学习面试1000题系列(第36~40题)
七月在线实验室
8+阅读 · 2017年10月3日
机器学习(15)之支持向量机原理(一)线性支持向量机
机器学习算法与Python学习
6+阅读 · 2017年9月1日
机器学习算法比较
我爱机器学习
4+阅读 · 2016年12月11日
Arxiv
18+阅读 · 2019年1月16日
Arxiv
5+阅读 · 2018年5月22日
Arxiv
4+阅读 · 2018年3月19日
VIP会员
最新内容
《人工智能赋能电磁战》(报告)
专知会员服务
2+阅读 · 4月17日
【CMU博士论文】迈向可扩展的开放世界三维感知
前馈式三维场景建模
专知会员服务
1+阅读 · 4月17日
(译文)认知战:以士兵为目标,塑造战略
专知会员服务
3+阅读 · 4月17日
相关VIP内容
专知会员服务
81+阅读 · 2020年6月20日
【CVPR2020-北京大学】自适应间隔损失的提升小样本学习
专知会员服务
85+阅读 · 2020年6月9日
斯坦福2020硬课《分布式算法与优化》
专知会员服务
123+阅读 · 2020年5月6日
【经典书】精通机器学习特征工程,中文版,178页pdf
专知会员服务
360+阅读 · 2020年2月15日
【新书】Pro 机器学习算法Python实现,379页pdf
专知会员服务
204+阅读 · 2020年2月11日
【华侨大学】基于混合深度学习算法的疾病预测模型
专知会员服务
97+阅读 · 2020年1月21日
【斯坦福&Google】面向机器人的机器学习,63页PPT
专知会员服务
26+阅读 · 2019年11月19日
相关资讯
一文读懂线性回归、岭回归和Lasso回归
CSDN
34+阅读 · 2019年10月13日
LASSO回归与XGBoost:融合模型预测房价
论智
32+阅读 · 2018年8月8日
已删除
将门创投
4+阅读 · 2018年6月12日
超级干货 :一文读懂集成学习(附学习资源)
数据分析
9+阅读 · 2017年10月30日
三大特征选择策略,有效提升你的机器学习水准
深度学习世界
8+阅读 · 2017年10月24日
BAT机器学习面试1000题系列(第36~40题)
七月在线实验室
8+阅读 · 2017年10月3日
机器学习(15)之支持向量机原理(一)线性支持向量机
机器学习算法与Python学习
6+阅读 · 2017年9月1日
机器学习算法比较
我爱机器学习
4+阅读 · 2016年12月11日
Top
微信扫码咨询专知VIP会员