压电能量收集器丨能源危机之下能否实现“无能耗供电”?

2018 年 7 月 12 日 科学出版社


构建以压电陶瓷为核心的压电能量收集器可用于捕获环境中普遍存在的振动能,通过机电转换进行清洁发电,是当前新能源和物联网领域的国际研究前沿。而在我国,与光伏发电、风能发电和热电发电等新能源技术相比,压电发电技术起步晚,研究极为薄弱。为了应对压电能量收集技术面临的挑战,制备具有优异机电转换性能的压电材料是压电能量收集器的研究关键。探索材料改性的核心技术、了解微结构与性能间的关系对于压电能量收集材料的发展具有重要意义。


能量收集器用压电陶瓷的成分设计


01

压电能量收集器的结构与原理


在过去的十余年时间里,科研人员对压电能量收集技术进行了大量研究,包括能量转换机制分析、机械结构设计与优化、微电子电路控制理论等诸多方面。图1 所示为压电能量收集器的工作过程:过程1,通过特殊的机械装置将环境中无序的机械振动转换成周期性振荡的机械能。在这个过程中,部分能量由于机械阻抗失配、能量衰减等因素而损失掉。过程2,利用压电材料的正压电效应将周期性振动的机械能转换为电能。在这个过程中,由于压电材料的机电转换效率问题,部分能量损失掉。过程3,转换得到的电能经过整流、AC/DC 和DC/DC 转换,成为可以使用的电能。在这一过程中,由于电路损耗,部分能量损失掉。解决压电能量收集器工作过程中的能量损失问题进而提升效率,对于过程1 和过程3 可以通过改进机械结构与电路设计优化,而过程2 必须通过材料改性与制备加以提升。

 

目前,压电能量收集器的设计结构通常分为悬臂梁结构和多层叠堆结构。图2 (a) 和(b) 分别为压电双晶片和压电单晶片悬臂梁结构示意图。在这类悬臂梁结构中,悬臂梁一端固定,另一端随环境中的机械振动做周期运动。环境中的振动能首先转换成图2 中质量块M 的动能,然后质量块M 的动能转变成悬臂梁结构的弹性势能,压电层中变化的应变产生交变电压,并通过压电层的电极输出。这种悬臂梁结构的压电能量收集器一般为31-模式,外加应力沿轴向,产生电压的方向与其垂直。需要说明的是,当前的微加工技术很难在MEMS尺度制作压电双晶片结构,因此,MEMS 悬臂梁压电能量收集器通常设计并制作成单晶片结构。图3 为另一类压电叠堆能量收集器结构示意图。压电叠堆结构与多层陶瓷电容器(MLCC) 类似,内电极交替排列。这种压电能量收集器为33-模式,即外加应力的方向与产生电压的方向一致。两种工作模式(31-模式和33-模式) 中压电材料都可以产生电能。由于31-模式在较小的输入力作用下可以产生较大的应变,且共振频率也比较低,因此,31-模式更适合低频机电能量转换。


图1 压电能量收集器的工作过程


图2 压电能量收集器基本结构示意图

(a) 双晶片结构;(b) 单晶片结构

 

图3 压电陶瓷叠堆

(a) 长度方向横截面示意图;(b) 中部横截面示意图


02

能量收集用压电陶瓷的性能要求


1996 年,英国科学家Williams 和Yates 等提出使用压电材料将环境中的机械能转换为电能的技术方案。此后,各国科学家研究了各种类型的压电能量收集器件,这些设计的器件中普遍使用PZT、PVDF 等压电材料。2006 年,Priya等率先开展了针对能量收集器应用的压电陶瓷材料改性研究。但当时对能量收集用压电材料性能的要求,还有很多不明确的地方。2010 年,Priya进一步从材料理论上对能量收集用压电陶瓷的选择与设计标准进行了总结,阐述了压电能量收集器在非谐振状态和谐振状态下,对压电陶瓷材料性能的要求。

 

非谐振状态


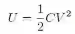
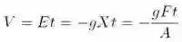
非谐振状态下,根据线性压电方程,可以推出在外加应力X 作用下的压电陶瓷能量密度与机电转换系数d·g(或称为换能系数) 之间的关系。在外力F(F=XA,A为受力面积) 作用下,陶瓷的开路电压可以定义为

 (1)


式中,t 为陶瓷厚度,E 为电场,g 为压电电压常数。

 

又因为


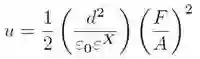
 (2)

 

式中,ε为真空介电常数,ε为应力作用下的介电常数。

 

压电陶瓷产生的电量可以用下面的关系式表示:


 (3)

 

或者


 (4)

 

式中,D 为电位移,C 是电容,β为恒定应力条件下材料的介电极化率。介电极化率等于介电常数张量分量的倒数。可用本构方程来定义线性压电材料:

 

 (5)

 

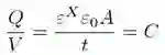
式(4) 表明,在低频下(远低于谐振频率),一个压电平行板可以等效为一个电容平行板。因此,在交变应力作用下,有效电能定义为

 

 (6)

 

或者单位体积内的能量,即能量密度为

 

 (7)

 

式中,d 为压电应变常数,g 为压电电压常数,F 为所受外力,A 为受力面积。将式(2) 代入式(7) 可得

 

 (8)

 

式(1) 和(7) 表明,将一个固定电极面积和厚度的压电材料应用到能量收集器件,高的机电转换系数d·g 和压电电压常数g 能产生高的功率和电压。表4.1 为不同商用压电陶瓷材料的压电性能参数和机电转换系数。

 

根据式(8) 可以得出结论,要获得高的能量密度,材料必须同时具备高压电应变常数d 和低介电常数ε。此外,电致阻尼对压电能量收集器工作特性也有一定影响,在评价能量收集用压电陶瓷时,介电损耗必须被考虑。因而,能量收集用压电陶瓷非谐振状态下的品质因数(FOMoff) 可以用下式表示:

 

 (9)


谐振状态


谐振状态下,压电陶瓷的能量转换效率定义为

 

 (10)


式中,k 为压电陶瓷的机电耦合系数,Q为机械品质因数。


表1 不同商用压电陶瓷材料的压电性能参数和机电转换系数


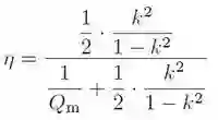
因此,压电陶瓷材料在谐振状态下要获得大的能量转换效率,需要有大的k 和Qm

 

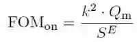
能量收集用压电陶瓷谐振状态下的品质因数(FOMon) 可以用下式表示:


 (11)

 

式中,SE 为压电陶瓷的弹性模量。

 

根据式(9) 和(11),可以进一步得出评价能量收集用压陶瓷性能的无量纲品质因数(DFOM),定义为

 

 (12)


能量收集用压电陶瓷的材料设计


由于环境中绝大多数的机械振动都是低频振动,因此,低频能量收集是目前压电能量收集材料的研究重点。由前文分析可知,在非谐振状态下能量收集用压电陶瓷材料的性能要求主要是高压电应变常数d 和低介电常数ε。根据Landau-Devonshire 公式: d33 = 2εrε0Q11Pr,通常情况下,压电应变常数和相对介电常数呈正相关的变化趋势,即获得高压电应变常数的同时,相对介电常数也较大,导致机电转换系数较小。为解决这一难题,科学家从材料设计角度出发初步提出了一些方案。

 

首先,Ahn 等研究发现,高的d·g 值可以通过调节ABO钙钛矿结构中的A/B 位离子的质量比(RW = WA/WB) 来实现。研究表明对于A 位离子较重的材料体系(如PZT 基材料),其压电应变常数d 和介电常数ε具有类似的变化趋势。由于g=d/εT ,其压电电压常数g 值没有明显变化。因此,在A 位离子较重的材料体系中,d·g 值主要由压电应变常数d 来决定。而对于B 位离子较重的材料(如铌酸盐系材料、NBT 基材料),随着1/RW 的增大,压电应变常数d 逐渐增大,介电常数ε逐渐减小,呈现相反的变化趋势,导致压电电压常数g 迅速增大。因此,在B 位离子较重的材料体系中,d·g 值的大小主要由g 值的变化来决定。对比研究发现,通过设计适宜的RW 值,有助于获得高的d·g 值。但是该研究仅属于唯象理论分析,深层次的物理机制仍不清晰,如为什么A 位离子较重材料的介电常数变化和B 位离子较重材料的介电常数变化趋势不一致等,还需要进一步研究。此外,该工作采集的数据仍然有限,其规律性还需要进行大量的实验论证。

 

PZT 压电材料在准同型相界(MPB) 附近获得压电性能和介电性能的最优值,且d 和ε在MPB 附近具有相同的变化趋势(见图4.4),即随组成变化同时增加或同时减小,导致d·g 值的提升变得困难。Nahm 等在研究Pb(ZrxTi1x)O3-Pb(Zn1/3Nb2/3)O3-Pb(Ni1/3Nb2/3)O3(PZT-PZN-PNN) 体系时发现,通过改变体系中PNN、PZN、PZT 成分组成比例,可以调控其相结构,发生MPB 向四方相或三方相的定向转变。尤其是在MPB 向三方相一侧转变的过程中,d 与ε表现出不一致的变化速率,d 减小的速率明显低于ε减小的速率,利用这一变化速率的差异,有助于在特定组成获得高的d·g 值。


图4 PZT 陶瓷在准同型相界附近的电性能

 

掺杂改性是调控压电陶瓷材料性能的有效技术手段。根据对材料结构和性能的影响,掺杂类型主要分为两大类:第1 类是受主掺杂,即用低价正离子取代高价正离子,如外加Li+、Cr3+、Fe3+ 等取代基体钙钛矿B 位的Zr4+、Ti4+ 等离子,离子置换后在晶格中形成一定量的负离子缺位(氧空位),因而导致晶胞收缩,抑制畴壁运动,增加矫顽电场,从而使极化变得困难,压电性能降低,Qm 变大,同时介电损耗减小;第2 类是施主掺杂,即用高价正离子取代低价正离子,如以外加La3+、Bi3+、Nb5+、W6+ 等高价离子分别置换基体钙钛矿A 位的Pb2+ 或B 位的Zr4+、Ti4+ 等离子,施主掺杂可以促使在晶格中形成一定量的正离子缺位(主要是铅空位),由此导致晶粒内畴壁容易移动,矫顽场降低,使陶瓷的极化变得容易,压电性能提高。但空位的存在增加了陶瓷内部弹性波的衰减,引起Qm 降低,介电损耗增大。侯育冬等系统研究了第一过渡系金属离子掺杂PZN-PZT 陶瓷体系,发现对基体引入不同电子结构的掺杂离子能极大地影响陶瓷组织结构与电畴类型,并可以根据目标器件应用的不同要求调整相关电学性能,这为能量收集器用压电材料设计提供新的技术途径。

 

总之,地球上化石能源的日益枯竭迫切需要发展新的清洁能源采集技术。压电能量收集器基于压电材料的正压电效应,可以将环境中的振动能转化为电能,经进一步调制与储存,能够实现为低功耗电子器件供电的目的。这方面的应用特别是对于物联网中微型传感器实现自供电意义重大。随着近年来压电能量收集器的快速发展,其核心压电陶瓷材料的机电转换性能亟待提高,因而对相关材料设计与制备进行深入研究具有重要的科学意义与工程应用价值。



本文摘编自侯育冬,郑木鹏著《压电陶瓷掺杂调控》第4章部分内容,略有删减改动。



《压电陶瓷掺杂调控》

作者:侯育冬,郑木鹏

责任编辑:周涵

北京:科学出版社,2018.3

ISBN:978-7-03-056488-7


掺杂作为重要的材料改性方法,在压电陶瓷微结构优化与力、电性能提升方面有着重要应用。《压电陶瓷掺杂调控》基于作者十余年来在压电陶瓷掺杂研究方面的工作积累,对多元系复杂结构压电陶瓷掺杂机理、改性技术和相关压电器件应用进行了系统的介绍。全书主要包括以下内容:第1章绪论,第2章压电陶瓷基体的结构与性能,第3章压电变压器用陶瓷掺杂改性和第4章能量收集器用陶瓷掺杂改性。


(本期编辑:小文)


一起阅读科学!

科学出版社│微信ID:sciencepress-cspm

专业品质  学术价值

原创好读  科学品味

更多好素材,期待您的来稿

与科学相约 | 科学出版社征稿启事


点击“阅读原文”可购买本书

登录查看更多
1

相关内容

压电材料是受到压力作用时会在两端面间出现电压的晶体材料。利用压电材料的这个特性可实现机械振动(声波)和电能的互相转换。压电材料可分为无机压电材料和有机压电材料。无机压电材料又分为压电晶体和压电陶瓷,有机压电材料又称压电聚合物,如聚偏氟乙烯(PVDF)(薄膜)及以它为代表的其他有机压电(薄膜)材料。
FPGA加速系统开发工具设计:综述与实践
专知会员服务
69+阅读 · 2020年6月24日
最新《智能交通系统的深度强化学习》综述论文,22页pdf
【边缘智能综述论文】A Survey on Edge Intelligence
专知会员服务
123+阅读 · 2020年3月30日
新时期我国信息技术产业的发展
专知会员服务
71+阅读 · 2020年1月18日
2019中国硬科技发展白皮书 193页
专知会员服务
86+阅读 · 2019年12月13日
【大数据白皮书 2019】中国信息通信研究院
专知会员服务
138+阅读 · 2019年12月12日
【白皮书】“物联网+区块链”应用与发展白皮书-2019
专知会员服务
94+阅读 · 2019年11月13日
海洋论坛丨水声目标识别技术现状与发展
无人机
26+阅读 · 2018年12月17日
【大数据】工业大数据在石化行业的应用成功“落地”
【工业智能】风机齿轮箱故障诊断 — 基于振动信号
自动泊车系统发展现状及前景分析 | 厚势
厚势
22+阅读 · 2018年1月22日
【工业大数据】一文带你读懂《工业大数据白皮书》
产业智能官
14+阅读 · 2018年1月20日
Self-Driving Cars: A Survey
Arxiv
41+阅读 · 2019年1月14日
Arxiv
8+阅读 · 2018年11月27日
Arxiv
6+阅读 · 2018年10月3日
Physical Primitive Decomposition
Arxiv
4+阅读 · 2018年9月13日
VIP会员
最新内容
《美陆军条例:陆军指挥政策(2026版)》
专知会员服务
10+阅读 · 4月21日
《军用自主人工智能系统的治理与安全》
专知会员服务
5+阅读 · 4月21日
《系统簇式多域作战规划范畴论框架》
专知会员服务
10+阅读 · 4月20日
高效视频扩散模型:进展与挑战
专知会员服务
5+阅读 · 4月20日
乌克兰前线的五项创新
专知会员服务
8+阅读 · 4月20日
 军事通信系统与设备的技术演进综述
专知会员服务
7+阅读 · 4月20日
《北约标准:医疗评估手册》174页
专知会员服务
6+阅读 · 4月20日
Top
微信扫码咨询专知VIP会员