支持向量机(SVM)硬核入门-基础篇

2019 年 10 月 29 日 AINLP

1 引子

关于SVM,流传着一个关于天使与魔鬼的故事。

传说魔鬼和天使玩了一个游戏,魔鬼在桌上放了两种颜色的球(1.1)。魔鬼让天使用一根木棍将它们分开。这对天使来说,似乎太容易了。天使不假思索地一摆,便完成了任务(1.2)。

1.1 分球问题1

1.2 分球问题1的解

魔鬼又加入了更多的球。随着球的增多,似乎有的球不能再被原来的木棍正确分开(1.3)。

1.3 分球问题2及其解

 

魔鬼最后给了天使一个新的挑战(1.4)。按照这种球的摆法,世界上貌似没有一根木棒可以将它们完美分开。但天使一拍桌子,便让这些球飞到了空中,然后抓起一张纸片,插在了两类球的中间(1.5)。从魔鬼的角度看这些球,则像是被一条曲线完美的切开了(1.6)。

1.4 分球问题3

1.5 高维空间中分球问题3的解

1.6 魔鬼视角下分球问题3的解

 

本小节引用自《百面机器学习》诸葛越)


2 概述

和第1节中的分球游戏类似,支持向量机SVM就是一个二分类模型,它通过引入一个超平面,将样本点分隔成两簇,以达到预测样本类别的目的。SVM算法的主要过程就是求出这个分隔超平面。其中:

分球问题1对应:线性可分支持向量机。这是最简单的支持向量机,所有样本都能够完美地被线性分隔。

分球问题2对应:基于软间隔的线性支持向量机。这种支持向量机能够容忍一定的误差和异常点。

分球问题3对应:基于核函数的非线性支持向量机。SVM将低维的样本特征空间映射到高维,再利用高维的超平面进行分隔。

在基础篇中,我将只介绍线性可分支持向量机,因为基础篇的目的是删烦就简,让读者了解到一个尽可能简单的支持向量机SVM

剩下的两种支持向量机及一些高级的知识点,将会在进阶篇中进行描述。


3 基本概念

3.1 超平面

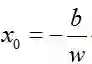
我们将由SVM学习得到的分隔超平面记为:

其中超平面的法向量,超平面的截距。

3.1 样本点和超平面

3.2 决策函数

学习到超平面后,即可进行二分类问题的预测,相应的决策函数为


其中x为样本点的特征向量,f(x)输出的值为样本点的类别。

sign函数为符号函数:

x>0时,sign(x)=1

x=0时,sign(x)=0

x<0sign(x)=-1

3.2 Sign符号函数

3.3 间隔

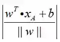
间隔指的是样本点到超平面的垂直距离(最短距离)。

能够正确分隔样本点的超平面可能有无数个,为了找出其中最优的那个,我们需要通过间隔来评价超平面的分隔效果,并通过间隔数据来计算超平面的最优解,以达到最佳的分类预测效果。

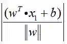
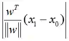
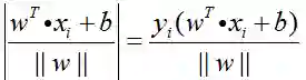
如图3.3所示,线段AB的距离计算公式为(公式推导见本小节末):

其中||w||为法向量wL2范数(欧氏距离)。

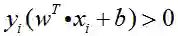
在分类正确的情况下,不妨令:

时的样本点分类为1

时的样本点分类为-1

则此时:

我们将其定义为样本点到超平面的间隔。

注:分类不正确的情况下,求得的间隔为负数,不影响计算的最终结果。

3.3 间隔

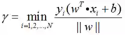
在定义了样本点到超平面的间隔后,我们继续定义样本训练集到超平面的间隔:训练集中所有样本到超平面的间隔的最小值

其中N为样本点数量。

3.4 间隔和支持向量

如图3.4所示,正例样本中距离超平面最近的点是点A和点B,它们距离超平面的距离为γ,负例样本中距离超平面最近的点是点C,它们距离超平面的距离也为γ。

支持向量机SVM算法的最终目的,就是求出一个超平面,使得训练集间隔γ最大,以达到最好的分类效果,即求得:

这也是后续最优化问题的目标函数。

 

附:简要推导下点到平面的距离公式:

记待求距离的点为x1,平面上任意一点为x0,平面为

待求距离的点到平面上任意一点的线段向量为

由于点到平面的距离为点到平面的垂线的距离,即点到平面上任意一点的向量,乘以平面的单位法向量得到的距离,即为。考虑到方向性,取绝对值,即为

由于x0在平面上,故满足,可得

代入距离公式,可得最终的距离公式

 

3.4 支持向量

最后解释支持向量机SVM算法名称的由来。

如图3.4,超平面仅由样本点ABC决定,和其它样本点无关。这些决定超平面位置的样本点,就被称为支持向量。

在线性可分支持向量机中,正例和负例至少各有1个支持向量,至多有无穷多个。

最为简单的情况是:正例1个支持向量,负例1个支持向量,超平面即为这两个支持向量的垂直平分线。如图3.5所示。

3.5 由两个支持向量生成的间隔最大的超平面 


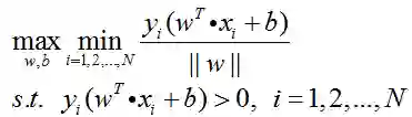
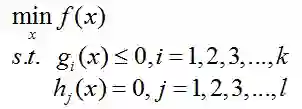
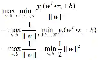
4 最优化问题

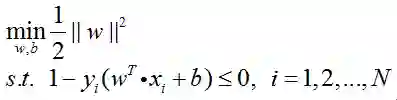
4.1 原始问题

第一步:

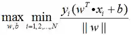
3.3节中提及的,SVM算法的目的是获得最高的分类准确率,等同于找到训练集间隔最大的最优超平面,等同于求下式的最优化问题:

同时,考虑到所有的样本点都必须被正确分类,即要满足这个约束条件,所以最优化问题可以被描述为:

第二步:

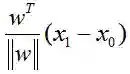
对于超平面,参数组表示的是同一个平面。

所以,为了简化最优化问题,令这个步骤很关键),则,如图4.1所示:

4.1 将训练集间隔简化为1

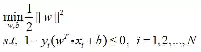
此时原始问题及其约束条件可化为:

等价于 :

第三步:

所以优化目标可以表示如下,这也被称为最优化问题的原始问题

注:之所以将改写为,是为了让后续的计算更简便。

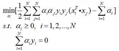
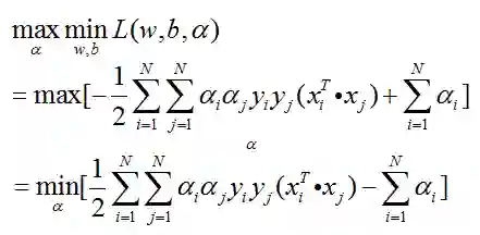
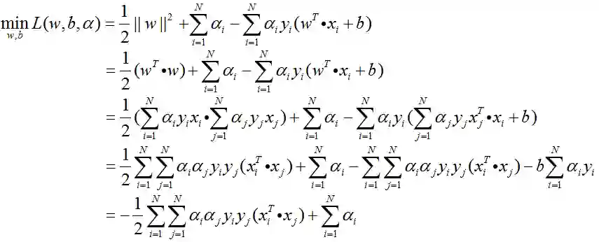
4.2 对偶问题

为了求原始问题的解w和b,我们可以借助朗格朗日函数,通过求解对偶问题的解α,来获取原始问题的解。同时,对偶问题也有助于引入核函数,方便将SVM推广到高维空间的非线性分类问题。

(为了保证文章的连贯性,拉格朗日对偶性的知识点在第6节中予以补充,这里不作展开)。

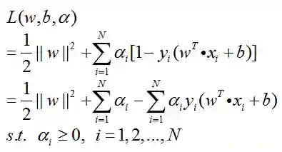
通过引入朗格朗日乘子α,原始问题


的朗格朗日函数为:

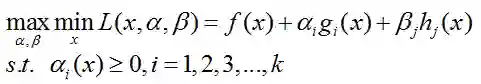
根据朗格朗日对偶性,原始问题等价于求拉格朗日函数的极大极小问题

第一步:求,分别对w和b求偏导数,并令其等于0

 

化简可得: 


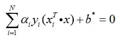
代入可得:

第二步:求:



考虑约束条件,整理可得最优化问题的对偶问题

 

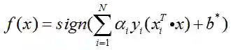
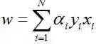
4.3 超平面和分类决策函数

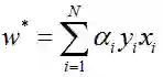
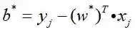
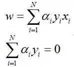
在求解对偶问题的过程中,我们获取了α的值,并且得知了哪些样本点是支持向量。接下来就可以求解w和b:

根据w的表达式,即可求得

由于支持向量一定在超平面的训练集间隔边界上,所以满足等式。所以选取任意一个支持向量,根据w即可求得(这里利用到了)。

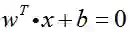
故分类问题的超平面为:

 

分类决策函数为:

 

注:

1)支持向量对应的α>0,原始问题的约束条件此时取等号。

2)非支持向量对应的α=0,原始问题的约束条件此时取小于号。

3)所以,记,则。这就是KKT条件中的对偶互补松弛条件。

 

 


 

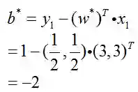
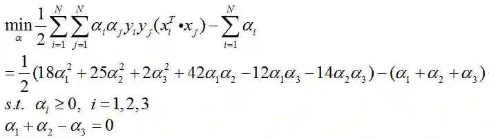
5 应用实例

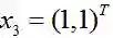
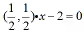
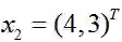
题目:

训练集包含2个正例点和1个负例点,正例点是负例点是。利用支持向量机SVM求解分隔超平面和分类决策函数。

解:

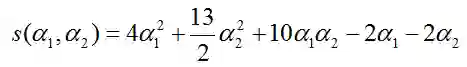
最优化问题的对偶问题为:

α3=α1+α2代入对偶问题函数,并记为:

 

α1α2求偏导,并令其等于0,得出α1=1.5,α2=-1时取得极值。但该点不满足约束条件α≥0,故s(α1,α2)极值位于其定义域的边界上。

α1=0时,极小值s(0,13/2)=-13/2α2=0时,极小值s(0.25,0)=-0.25。综合比较,s(α1,α2)在(0.25,0)处取得极小值,故:

α3=α1+α2=0.25

此时可确定x1和x3为支持向量。

接着计算w

用支持向量x1来计算b

最后,由此可得:

分隔超平面: 


分类决策函数: 

 

本小节引用自《统计学习方法》李航


6 附录:拉格朗日对偶性

这节介绍如何利用拉格朗日函数及对偶问题,求解带约束条件的最优化问题。此外,对偶问题还能为后续引入核函数提供便利。

对于如下最优化问题的泛用性表示:

 

我们将其称为原始问题

在求解f(x)的最小值的时候,还要考虑约束条件,很麻烦。有没有一个函数既能够表示f(x),又能够把约束条件包含进去呢?

为解决这个问题,拉格朗日函数被提出了:

可以证明(我这里就不证明了):

在满足约束条件时,

在不满足约束条件时

所以:

再交换下极大极小顺序(这里就不证明交换顺序不会改变函数结果了):

这样,我们就找到了原始问题(带约束条件的最优化问题)的替代形式,并命名为对偶问题

 

对偶问题相对于原始问题,就好求解多了。

最后,补充下最优值点需要满足的条件(KKT条件):

1)原始问题可行:

2)对偶问题可行:

3)对偶互补松弛: 

 


参考文献

[1]李航 统计学习方法 清华大学出版社

[2]张皓 从零构建支持向量机(SVM)

[3]诸葛越 百面机器学习 人民邮电出版社

[4]彭一洋 如何通俗地讲解对偶问题 https://www.zhihu.com/question/58584814

[5]周志华 机器学习 清华大学出版社

 



本文转载自公众号:数论遗珠,作者:阮智昊


推荐阅读


神经网络硬核入门-反向传播(BP)算法


NLP硬核入门-Seq2Seq和Attention机制


NLP硬核入门-隐马尔科夫模型HMM


DigSci科学数据挖掘大赛:如何在3天内拿下DigSci亚军


关于AINLP


AINLP 是一个有趣有AI的自然语言处理社区,专注于 AI、NLP、机器学习、深度学习、推荐算法等相关技术的分享,主题包括文本摘要、智能问答、聊天机器人、机器翻译、自动生成、知识图谱、预训练模型、推荐系统、计算广告、招聘信息、求职经验分享等,欢迎关注!加技术交流群请添加AINLP君微信(id:AINLP2),备注工作/研究方向+加群目的。


登录查看更多
3

相关内容

斯坦福EE364a《凸优化》课件,301页ppt
专知会员服务
100+阅读 · 2020年7月14日
干货书《数据科学数学系基础》2020最新版,266页pdf
专知会员服务
326+阅读 · 2020年3月23日
Sklearn 与 TensorFlow 机器学习实用指南,385页pdf
专知会员服务
131+阅读 · 2020年3月15日
【经典书】精通机器学习特征工程,中文版,178页pdf
专知会员服务
360+阅读 · 2020年2月15日
【新书】Python编程基础,669页pdf
专知会员服务
197+阅读 · 2019年10月10日
从零推导支持向量机 (SVM)
AI科技评论
10+阅读 · 2019年2月7日
从示例中理解SVM算法(附代码)
论智
10+阅读 · 2018年5月10日
免费|机器学习算法Python实现
全球人工智能
6+阅读 · 2018年1月2日
动手写机器学习算法:SVM支持向量机(附代码)
七月在线实验室
12+阅读 · 2017年12月5日
基于概率论的分类方法:朴素贝叶斯
Python开发者
8+阅读 · 2017年11月9日
支持向量机分类实战
全球人工智能
4+阅读 · 2017年10月18日
机器学习(18)之支持向量机原理(三)线性不可分支持向量机与核函数
机器学习算法与Python学习
3+阅读 · 2017年9月23日
机器学习(16)之支持向量机原理(二)软间隔最大化
机器学习算法与Python学习
6+阅读 · 2017年9月8日
机器学习(15)之支持向量机原理(一)线性支持向量机
机器学习算法与Python学习
6+阅读 · 2017年9月1日
Semantics of Data Mining Services in Cloud Computing
Arxiv
4+阅读 · 2018年10月5日
Arxiv
9+阅读 · 2018年4月12日
VIP会员
最新内容
内省扩散语言模型
专知会员服务
2+阅读 · 4月14日
国外反无人机系统与技术动态
专知会员服务
3+阅读 · 4月14日
大规模作战行动中的战术作战评估(研究论文)
未来的海战无人自主系统
专知会员服务
3+阅读 · 4月14日
美军多域作战现状分析:战略、概念还是幻想?
无人机与反无人机系统(书籍)
专知会员服务
19+阅读 · 4月14日
美陆军2026条令:安全与机动支援
专知会员服务
7+阅读 · 4月14日
相关VIP内容
相关资讯
从零推导支持向量机 (SVM)
AI科技评论
10+阅读 · 2019年2月7日
从示例中理解SVM算法(附代码)
论智
10+阅读 · 2018年5月10日
免费|机器学习算法Python实现
全球人工智能
6+阅读 · 2018年1月2日
动手写机器学习算法:SVM支持向量机(附代码)
七月在线实验室
12+阅读 · 2017年12月5日
基于概率论的分类方法:朴素贝叶斯
Python开发者
8+阅读 · 2017年11月9日
支持向量机分类实战
全球人工智能
4+阅读 · 2017年10月18日
机器学习(18)之支持向量机原理(三)线性不可分支持向量机与核函数
机器学习算法与Python学习
3+阅读 · 2017年9月23日
机器学习(16)之支持向量机原理(二)软间隔最大化
机器学习算法与Python学习
6+阅读 · 2017年9月8日
机器学习(15)之支持向量机原理(一)线性支持向量机
机器学习算法与Python学习
6+阅读 · 2017年9月1日
Top
微信扫码咨询专知VIP会员