论文浅尝 | Understanding Black-box Predictions via Influence Func

2018 年 10 月 27 日 开放知识图谱

Cite: Koh P W, Liang P. Understanding black-box predictions via influence functions[J]. arXiv preprint arXiv:1703.04730, 2017.

https://arxiv.org/pdf/1703.04730

GitHub项目地址:http://bit.ly/gt-influence


本文使用影响函数(Influence functions)这种工具来研究模型训练样本对模型预测结果的影响,并由此对黑盒模型的预测结果进行解释。

Influence functionsCook以及Weisberg在鲁棒统计(statistics)中引入,它研究了estimator随着其输入分布变化而变化的方式。在模型训练过程中,假设修改一个训练样本的权重后,新的参数变为

其中z(x,y),即一个样本

当损失函数L二阶可微且在原始参数附近为凸函数时,根据influence functions理论可得

其中

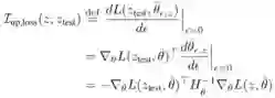
通过以上结论,可以得到移除一个训练样本对模型参数的影响为

而对一个训练样本进行轻微扰动对模型参数的影响为

可以看到,在 I_(up,loss)(z, z_test) 中,需要求解Hessian矩阵的逆矩阵,直接计算的复杂度会很高,因此将其计算分解成两部分

这样可以使痛HVPs(Hessian-vector products)的方法进行计算第一部,然后再计算第二步。具体地,可以使用共轭梯度,直接优化得到H_θ ̂^(-1)v 。此外,还可以使用统计估计方法,计算得到 H_θ ̂^(-1)v 的无偏估计值。

对于非凸函数,可以构造一个近似的二次凸函数进行拟合,然后再对这个凸函数应用influencefunctions进行分析处理。一种拟合方式为

而对于一些非二次可微函数,例如Hingeloss,可以使用连续可微函数进行近似,例如Smooth Hinge

influence functions的结果可以应用到多个场景中对模型进行解释:

1. 理解模型的行为

对比相同样本的修改对不同模型预测的影响可以对模型预测的行为进行解释,文中对比了Inception V3SVM模型在dog-fish图片分类问题中的行为,结果如下



svm这种简单的模型依靠更浅层的特征(欧式距离),而Inception V3使用更深层的特征

2. 产生对抗样本

通过不断的修改训练样本来提高预测的误差,可以产生得到对抗样本

。还是在dog-fish图片分类问题,可以得到以下的结果



除了以上的用法,influence还可以应用到检测训练集/测试集的一致性,修正错误标签的样本等场景中。

 

本文作者王旦,浙江大学,研究方向是自然理,机器学习。



OpenKG.CN


中文开放知识图谱(简称OpenKG.CN)旨在促进中文知识图谱数据的开放与互联,促进知识图谱和语义技术的普及和广泛应用。

转载须知:转载需注明来源“OpenKG.CN”、作者及原文链接。如需修改标题,请注明原标题。

 

点击阅读原文,进入 OpenKG 博客。

登录查看更多
0

相关内容

在科学,计算和工程学中,黑盒是一种设备,系统或对象,可以根据其输入和输出(或传输特性)对其进行查看,而无需对其内部工作有任何了解。 它的实现是“不透明的”(黑色)。 几乎任何事物都可以被称为黑盒:晶体管,引擎,算法,人脑,机构或政府。为了使用典型的“黑匣子方法”来分析建模为开放系统的事物,仅考虑刺激/响应的行为,以推断(未知)盒子。 该黑匣子系统的通常表示形式是在该方框中居中的数据流程图。黑盒的对立面是一个内部组件或逻辑可用于检查的系统,通常将其称为白盒(有时也称为“透明盒”或“玻璃盒”)。
【Google】平滑对抗训练,Smooth Adversarial Training
专知会员服务
49+阅读 · 2020年7月4日
【Nature论文】深度网络中的梯度下降复杂度控制
专知会员服务
41+阅读 · 2020年3月9日
17篇知识图谱Knowledge Graphs论文 @AAAI2020
专知会员服务
173+阅读 · 2020年2月13日
专知会员服务
214+阅读 · 2019年8月30日
论文浅尝 | 利用推理链进行视觉问题回答
开放知识图谱
6+阅读 · 2019年4月22日
论文浅尝 | Global Relation Embedding for Relation Extraction
开放知识图谱
12+阅读 · 2019年3月3日
论文浅尝 | Interaction Embeddings for Prediction and Explanation
开放知识图谱
11+阅读 · 2019年2月1日
论文浅尝 | 推荐系统的可解释性浅谈
开放知识图谱
15+阅读 · 2018年11月27日
互信息论文笔记
CreateAMind
23+阅读 · 2018年8月23日
论文浅尝 | 近期论文精选
开放知识图谱
5+阅读 · 2018年7月8日
STRCF for Visual Object Tracking
统计学习与视觉计算组
15+阅读 · 2018年5月29日
论文浅尝 | Know-Evolve: Deep Temporal Reasoning for Dynamic KG
开放知识图谱
36+阅读 · 2018年3月30日
论文浅尝 | CFO: Conditional Focused Neural Question Answering
开放知识图谱
6+阅读 · 2017年12月15日
机器学习(13)之最大熵模型详解
机器学习算法与Python学习
7+阅读 · 2017年8月24日
Interpretable Adversarial Training for Text
Arxiv
5+阅读 · 2019年5月30日
Arxiv
3+阅读 · 2018年5月21日
Arxiv
4+阅读 · 2018年5月14日
Arxiv
6+阅读 · 2018年4月4日
Arxiv
4+阅读 · 2016年9月20日
VIP会员
最新内容
美国当前高超音速导弹发展概述
专知会员服务
4+阅读 · 4月19日
无人机蜂群建模与仿真方法
专知会员服务
7+阅读 · 4月19日
澳大利亚发布《国防战略(2026年)》
专知会员服务
2+阅读 · 4月19日
全球高超音速武器最新发展趋势
专知会员服务
2+阅读 · 4月19日
相关VIP内容
相关资讯
论文浅尝 | 利用推理链进行视觉问题回答
开放知识图谱
6+阅读 · 2019年4月22日
论文浅尝 | Global Relation Embedding for Relation Extraction
开放知识图谱
12+阅读 · 2019年3月3日
论文浅尝 | Interaction Embeddings for Prediction and Explanation
开放知识图谱
11+阅读 · 2019年2月1日
论文浅尝 | 推荐系统的可解释性浅谈
开放知识图谱
15+阅读 · 2018年11月27日
互信息论文笔记
CreateAMind
23+阅读 · 2018年8月23日
论文浅尝 | 近期论文精选
开放知识图谱
5+阅读 · 2018年7月8日
STRCF for Visual Object Tracking
统计学习与视觉计算组
15+阅读 · 2018年5月29日
论文浅尝 | Know-Evolve: Deep Temporal Reasoning for Dynamic KG
开放知识图谱
36+阅读 · 2018年3月30日
论文浅尝 | CFO: Conditional Focused Neural Question Answering
开放知识图谱
6+阅读 · 2017年12月15日
机器学习(13)之最大熵模型详解
机器学习算法与Python学习
7+阅读 · 2017年8月24日
Top
微信扫码咨询专知VIP会员