深度学习分布式训练中的large batch size与learning rate的关系

2019 年 9 月 9 日 极市平台

加入极市专业CV交流群,与6000+来自腾讯,华为,百度,北大,清华,中科院等名企名校视觉开发者互动交流!更有机会与李开复老师等大牛群内互动!

同时提供每月大咖直播分享、真实项目需求对接、干货资讯汇总,行业技术交流。关注 极市平台 公众号 ,回复 加群,立刻申请入群~

本文选自知乎问答,已获得作者授权,不得二次转载。

如何理解深度学习分布式训练中的large batch size与learning rate的关系?

https://www.zhihu.com/question/64134994/answer/216895968


知乎高赞回答


作者:谭旭
链接:https://www.zhihu.com/question/64134994/answer/216895968

最近在进行多GPU分布式训练时,也遇到了large batch与learning rate的理解调试问题,相比baseline的batch size,多机同步并行等价于增大batch size,如果不进行精细的设计,large batch往往收敛效果会差于baseline的小batch size。因此将自己的理解以及实验总结如下,主要分为三个方面来介绍:(1)理解SGD、minibatch-SGD和GD,(2)large batch与learning rate的调试关系,(3)我们的实验。


(1)理解SGD、minibatch-SGD和GD


在机器学习优化算法中,GD(gradient descent)是最常用的方法之一,简单来说就是在整个训练集中计算当前的梯度,选定一个步长进行更新。GD的优点是,基于整个数据集得到的梯度,梯度估计相对较准,更新过程更准确。但也有几个缺点,一个是当训练集较大时,GD的梯度计算较为耗时,二是现代深度学习网络的loss function往往是非凸的,基于凸优化理论的优化算法只能收敛到local minima,因此使用GD训练深度神经网络,最终收收敛点很容易落在初始点附近的一个local minima,不太容易达到较好的收敛性能。


另一个极端是SGD(stochastic gradient descent),每次计算梯度只用一个样本,这样做的好处是计算快,而且很适合online-learning数据流式到达的场景,但缺点是单个sample产生的梯度估计往往很不准,所以得采用很小的learning rate,而且由于现代的计算框架CPU/GPU的多线程工作,单个sample往往很难占满CPU/GPU的使用率,导致计算资源浪费。


折中的方案就是mini-batch,一次采用batch size的sample来估计梯度,这样梯度估计相对于SGD更准,同时batch size能占满CPU/GPU的计算资源,又不像GD那样计算整个训练集。同时也由于mini batch能有适当的梯度噪声[8],一定程度上缓解GD直接掉进了初始点附近的local minima导致收敛不好的缺点,所以mini-batch的方法也最为常用。


关于增大batch size对于梯度估计准确度的影响,分析如下:

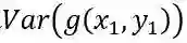
假设batch size为m,对于一个minibatch,loss为:



梯度



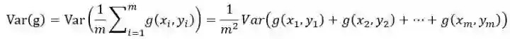
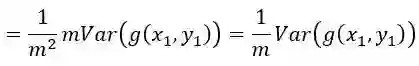
整个minibatch的梯度方差为:




由于每个样本



是随机从训练样本集sample得到的,满足i.i.d.假设,因此样本梯度的方差相等,为



等价于SGD的梯度方差,可以看到batch size增大m倍,相当于将梯度的方差减少m倍,因此梯度更加准确。


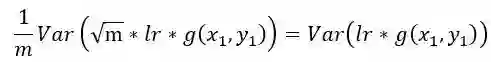
如果要保持方差和原来SGD一样,相当于给定了这么大的方差带宽容量,那么就可以增大lr,充分利用这个方差容量,在上式中添加lr,同时利用方差的变化公式,得到等式



因此可将lr增加sqrt(m)倍,以提高训练速度,这也是在linear scaling rule之前很多人常用的增大lr的方式[4]。下一小节将详细介绍增大lr的问题。



(2)large batch与learning rate


在分布式训练中,batch size 随着数据并行的worker增加而增大,假设baseline的batch size为B,learning rate为lr,训练epoch数为N。如果保持baseline的learning rate,一般不会有较好的收敛速度和精度。原因如下:对于收敛速度,假设k个worker,每次过的sample数量为kB,因此一个epoch下的更新次数为baseline的1/k,而每次更新的lr不变,所以要达到baseline相同的更新次数,则需要增加epoch数量,最大需要增加k*N个epoch,因此收敛加速倍数会远远低于k。对于收敛精度,由于增大了batch size使梯度估计相较于badeline的梯度更加准确,噪音减少,更容易收敛到附近的local minima,类似于GD的效果。


为了解决这个问题,一个方法就是增大lr,因为batch变大梯度估计更准,理应比baseline的梯度更确信一些,所以增大lr,利用更准确的梯度多走一点,提高收敛速度。同时增大lr,让每次走的幅度尽量大一些,如果遇到了sharp local minima[8](sharp minima的说法现在还有争议,暂且引用这个说法),还有可能逃出收敛到更好的地方。


但是lr不能无限制的增大,原因分析如下。深度神经网络的loss surface往往是高维高度非线性的,可以理解为loss surface表面凹凸不平,坑坑洼洼,不像y=x^2曲线这样光滑,因此基于当前weight计算出来的梯度,往前更新的learing rate很大的时候,沿着loss surface的切线就走了很大一布,有可能大大偏于原有的loss surface,示例如下图(a)所示,虚线是当前梯度的方向,也就是当前loss surface的切线方向,如果learning rate过大,那这一步沿切线方向就走了很大一步,如果一直持续这样,那很可能就走向了一个错误的loss surface,如图(b)所示。如果是较小的learning rate,每次只沿切线方向走一小步,虽然有些偏差,依然能大致沿着loss sourface steepest descent曲线想下降,最终收敛到一个不错的local minima,如图(c)所示。



同时也可以根据convex convergence theory[2]得到lr的upper bound:lr<1/L,L为loss surface的gradient curve的Lipschitz factor,L可以理解为loss梯度的变化幅度的上界。如果变化幅度越大,L越大,则lr就会越小,如果变化幅度越小,L越小,则lr就可以很大。这和上图的分析是一致的。


因此,如何确定large batch与learing rate的关系呢?


分别比较baseline和k个worker的large batch的更新公式[7],如下:




这个是baeline(batch size B)和large batch(batch size kB)的更新公式,(4)中large batch过一步的数据量相当于(3)中baseline k步过的数据量,loss和梯度都按找过的数据量取平均,因此,为了保证相同的数据量利用率,(4)中的learning rate应该为baseline的k倍,也就是learning rate的linear scale rule。

linear scale rule有几个约束,其中一个约束是关于weight的约束,式(3)中每一步更新基于的weight都是前一步更新过后的weight,因此相当于小碎步的走,每走一部都是基于目前真实的weight计算梯度做更新的,而式(4)的这一大步(相比baseline相当于k步)是基于t时刻的weight来做更新的。如果在这k步之内,W(t+j) ~ W(t)的话,两者近似没有太大问题,也就是linear scale rule问题不大,但在weight变化较快的时候,会有问题,尤其是模型在刚开始训练的时候,loss下特别快,weight变化很快,W(t+j) ~ W(t)就不满足。因此在初始训练阶段,一般不会直接将lr增大为k倍,而是从baseline的lr慢慢warmup到k倍,让linear scale rule不至于违背得那么明显,这也是facebook一小时训练imagenet的做法[7]。第二个约束是lr不能无限的放大,根据上面的分析,lr太大直接沿loss切线跑得太远,导致收敛出现问题。

同时,有文献[5]指出,当batchsize变大后,得到好的测试结果所能允许的lr范围在变小,也就是说,当batchsize很小时,比较容易找打一个合适的lr达到不错的结果,当batchsize变大后,可能需要精细地找一个合适的lr才能达到较好的结果,这也给实际的large batch分布式训练带来了困难。


(3)我们的实验


最近在考虑分布式训练NLP相关的深度模型的问题,实验细节如下,由于某些工作暂时还不方便透露,只提供较为简略的实验细节:


模型baseline参数为batch size 32, lr 0.25,最终的accuracy为BLEU score: 28.35。现在进行分布式扩展到多卡并行。


实验1:只增加并行worker数(也就相当于增大batch size),lr为baseline的lr0保持不变



可以看到随着batch的变大, 如果lr不变,模型的精度会逐渐下降,这也和上面的分析相符合。


实验2:增大batch size,lr相应增大



可以看到通过增加lr到5*lr0(理论上lr应该增加到8倍,但实际效果不好,因此只增加了5倍),并且通过warmup lr,达到和baseline差不多的Bleu效果。最终的收敛速度大约为5倍左右,也就是8卡能达到5倍的收敛加速(不考虑系统通信同步所消耗的时间,也就是不考虑系统加速比的情况下)。


深度学习并行训练能很好的提升模型训练速度,但是实际使用的过程中会面临一系列的问题,包括系统层面的架构设计、算法层面的参数调试等,欢迎有兴趣的朋友多多探讨。


[1] Li M, Zhang T, Chen Y, et al. Efficient mini-batch training for stochastic optimization[C]// Acm Sigkdd International Conference on Knowledge Discovery & Data Mining. ACM, 2014:661-670.

[2] Bottou L, Curtis F E, Nocedal J. Optimization Methods for Large-Scale Machine Learning[J]. 2016.

[3] Dekel O, Gilad-Bachrach R, Shamir O, et al. Optimal distributed online prediction using mini-batches[J]. Journal of Machine Learning Research, 2012, 13(1):165-202.

[4] Krizhevsky A. One weird trick for parallelizing convolutional neural networks[J]. Eprint Arxiv, 2014.

[5] Breuel T M. The Effects of Hyperparameters on SGD Training of Neural Networks[C]., 2015.

[6] Mishkin D, Sergievskiy N, Matas J. Systematic ealuation of CNN advances on the ImageNet[J]. 2016.

[7] Goyal, Priya, et al. "Accurate, Large Minibatch SGD: Training ImageNet in 1 Hour." arXiv preprint arXiv:1706.02677 (2017).

[8] Keskar N S, Mudigere D, Nocedal J, et al. On Large-Batch Training for Deep Learning: Generalization Gap and Sharp Minima[J]. 2016.

[9]Scaling Distributed Machine Learning with System and Algorithm Co-design - Google Search



-End-



*延伸阅读




添加极市小助手微信(ID : cv-mart),备注:研究方向-姓名-学校/公司-城市(如:目标检测-小极-北大-深圳),即可申请加入目标检测、目标跟踪、人脸、工业检测、医学影像、三维&SLAM、图像分割等极市技术交流群,更有每月大咖直播分享、真实项目需求对接、干货资讯汇总,行业技术交流一起来让思想之光照的更远吧~


△长按添加极市小助手


△长按关注极市平台


觉得有用麻烦给个在看啦~  

登录查看更多
0

相关内容

深度学习搜索,Exploring Deep Learning for Search
专知会员服务
61+阅读 · 2020年5月9日
因果关联学习,Causal Relational Learning
专知会员服务
185+阅读 · 2020年4月21日
【新书】深度学习搜索,Deep Learning for Search,附327页pdf
专知会员服务
214+阅读 · 2020年1月13日
【大规模数据系统,552页ppt】Large-scale Data Systems
专知会员服务
61+阅读 · 2019年12月21日
神经网络训练tricks
极市平台
6+阅读 · 2019年4月15日
Tensorflow框架是如何支持分布式训练的?
AI100
9+阅读 · 2019年3月26日
BAT机器学习面试1000题(716~720题)
七月在线实验室
19+阅读 · 2018年12月17日
BAT机器学习面试题1000题(376~380题)
七月在线实验室
9+阅读 · 2018年8月27日
BAT机器学习面试题1000题(331~335题)
七月在线实验室
12+阅读 · 2018年8月13日
深度学习面试100题(第41-45题)
七月在线实验室
15+阅读 · 2018年7月18日
干货|深度神经网络(DNN)反向传播算法(BP)
全球人工智能
7+阅读 · 2018年1月12日
深度学习超参数简单理解
计算机视觉战队
4+阅读 · 2017年11月28日
Optimization for deep learning: theory and algorithms
Arxiv
106+阅读 · 2019年12月19日
Meta-Transfer Learning for Few-Shot Learning
Arxiv
8+阅读 · 2018年12月6日
Arxiv
11+阅读 · 2018年7月8日
Arxiv
6+阅读 · 2018年2月24日
VIP会员
最新内容
BES:让语言模型通过双向进化搜索自我改进
专知会员服务
0+阅读 · 5月30日
以色列-美国-伊朗战争中的无人机:关键要点
专知会员服务
3+阅读 · 5月30日
《Palantir任务保障性软件安全标准(MA-S2)》
专知会员服务
7+阅读 · 5月30日
基于声学的无人机检测技术综述
专知会员服务
5+阅读 · 5月30日
《当代混合战争分析框架:俄乌战争经验教训》
战略前沿人工智能的再思考(中文)
专知会员服务
7+阅读 · 5月29日
《量化地基防空系统间接效应的博弈论方法》
专知会员服务
5+阅读 · 5月29日
相关资讯
神经网络训练tricks
极市平台
6+阅读 · 2019年4月15日
Tensorflow框架是如何支持分布式训练的?
AI100
9+阅读 · 2019年3月26日
BAT机器学习面试1000题(716~720题)
七月在线实验室
19+阅读 · 2018年12月17日
BAT机器学习面试题1000题(376~380题)
七月在线实验室
9+阅读 · 2018年8月27日
BAT机器学习面试题1000题(331~335题)
七月在线实验室
12+阅读 · 2018年8月13日
深度学习面试100题(第41-45题)
七月在线实验室
15+阅读 · 2018年7月18日
干货|深度神经网络(DNN)反向传播算法(BP)
全球人工智能
7+阅读 · 2018年1月12日
深度学习超参数简单理解
计算机视觉战队
4+阅读 · 2017年11月28日
Top
微信扫码咨询专知VIP会员