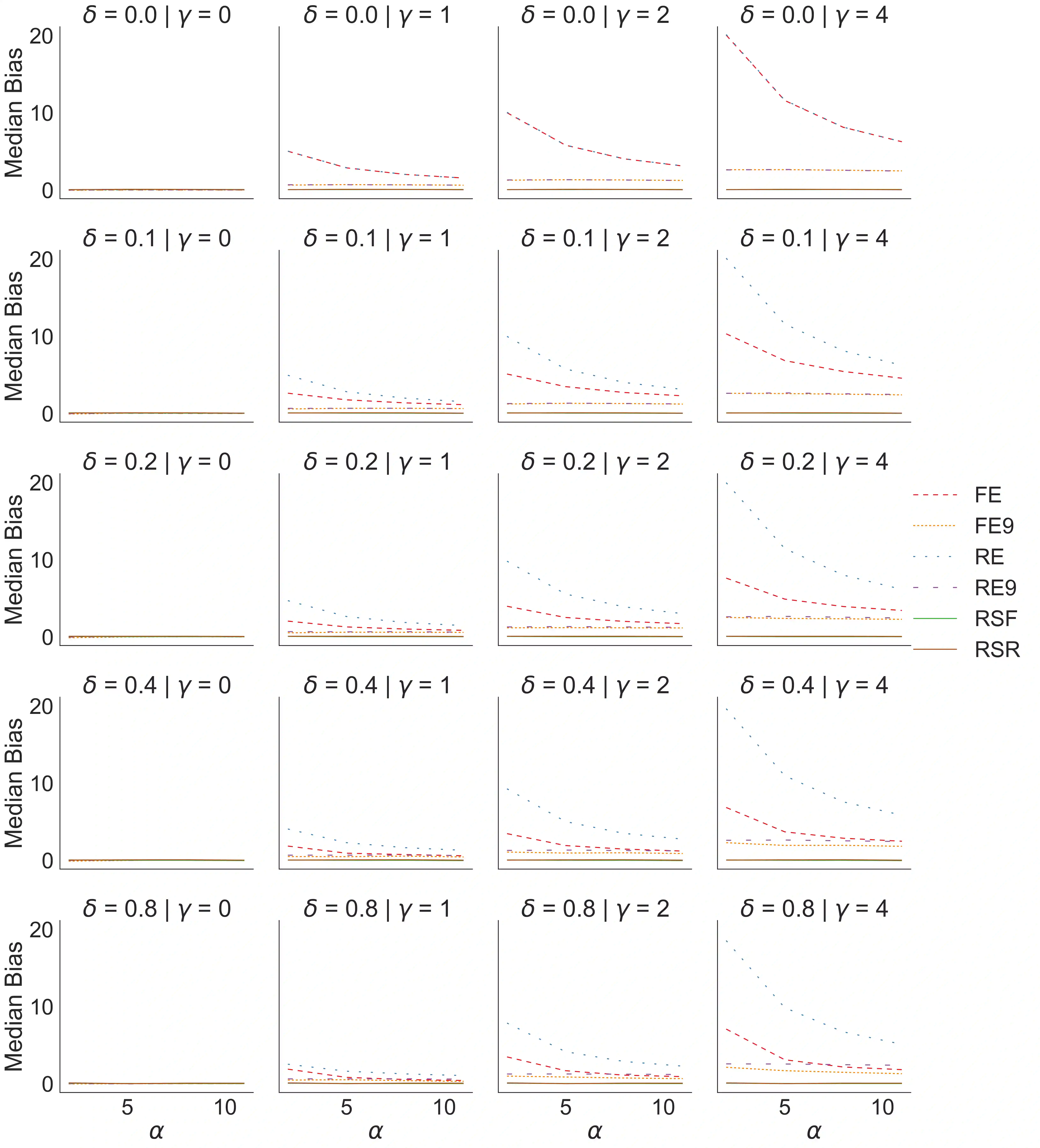
Meta-analysis can be a critical part of the research process, often serving as the primary analysis on which the practitioners, policymakers, and individuals base their decisions. However, current literature synthesis approaches to meta-analysis typically estimate a different quantity than what is implicitly intended; concretely, standard approaches estimate the average effect of a treatment for a population of imperfect studies, rather than the true scientific effect that would be measured in a population of hypothetical perfect studies. We advocate for an alternative method, called response-surface meta-analysis, which models the relationship between the quality of the study design as predictor variables and its reported estimated effect size as the outcome variable in order to estimate the effect size obtained by the hypothetical ideal study. The idea was first introduced by Rubin several decades ago, and here we provide a practical implementation. First, we reintroduce the idea of response-surface meta-analysis, highlighting its focus on a scientifically-motivated estimand while proposing a straightforward implementation. Then we compare the approach to traditional meta-analysis techniques used in practice. We then implement response-surface meta-analysis and contrast its results with existing literature-synthesis approaches on both simulated data and a real-world example published by the Cochrane Collaboration. We conclude by detailing the primary challenges in the implementation of response-surface meta-analysis and offer some suggestions to tackle these challenges.


翻译:暂无翻译

0
下载
关闭预览

相关内容

【ACL2020】多模态信息抽取,365页ppt
专知会员服务
151+阅读 · 2020年7月6日
FlowQA: Grasping Flow in History for Conversational Machine Comprehension
专知会员服务
34+阅读 · 2019年10月18日
Keras François Chollet 《Deep Learning with Python 》, 386页pdf
专知会员服务
164+阅读 · 2019年10月12日
开源书:PyTorch深度学习起步
专知会员服务
51+阅读 · 2019年10月11日
强化学习最新教程,17页pdf
专知会员服务
182+阅读 · 2019年10月11日
【SIGGRAPH2019】TensorFlow 2.0深度学习计算机图形学应用
专知会员服务
41+阅读 · 2019年10月9日
学习自然语言处理路线图
专知会员服务
140+阅读 · 2019年9月24日
Unsupervised Learning via Meta-Learning
CreateAMind
44+阅读 · 2019年1月3日
A Technical Overview of AI & ML in 2018 & Trends for 2019
待字闺中
18+阅读 · 2018年12月24日
利用动态深度学习预测金融时间序列基于Python
量化投资与机器学习
18+阅读 · 2018年10月30日
disentangled-representation-papers
CreateAMind
26+阅读 · 2018年9月12日
STRCF for Visual Object Tracking
统计学习与视觉计算组
15+阅读 · 2018年5月29日
Focal Loss for Dense Object Detection
统计学习与视觉计算组
12+阅读 · 2018年3月15日
国家自然科学基金
2+阅读 · 2017年12月31日
国家自然科学基金
18+阅读 · 2017年12月31日
国家自然科学基金
2+阅读 · 2015年12月31日
国家自然科学基金
1+阅读 · 2015年12月31日
国家自然科学基金
2+阅读 · 2015年12月31日
国家自然科学基金
0+阅读 · 2015年12月31日
国家自然科学基金
0+阅读 · 2014年12月31日
国家自然科学基金
0+阅读 · 2014年12月31日
国家自然科学基金
6+阅读 · 2014年12月31日
国家自然科学基金
0+阅读 · 2014年12月31日
Arxiv
0+阅读 · 2023年10月11日
Arxiv
0+阅读 · 2023年10月11日
Arxiv
0+阅读 · 2023年10月11日
Arxiv
0+阅读 · 2023年10月10日
Arxiv
18+阅读 · 2021年3月16日
VIP会员
最新内容
《美战争部小企业创新研究(SBIR)计划》
专知会员服务
0+阅读 · 38分钟前
《军事模拟:将军事条令与目标融入AI智能体》
专知会员服务
1+阅读 · 43分钟前
【NTU博士论文】3D人体动作生成
专知会员服务
3+阅读 · 4月24日
以色列军事技术对美国军力发展的持续性赋能
专知会员服务
8+阅读 · 4月24日
《深度强化学习在兵棋推演中的应用》40页报告
专知会员服务
11+阅读 · 4月24日
《多域作战面临复杂现实》
专知会员服务
8+阅读 · 4月24日
《印度的多域作战:条令与能力发展》报告
专知会员服务
3+阅读 · 4月24日
相关VIP内容
【ACL2020】多模态信息抽取,365页ppt
专知会员服务
151+阅读 · 2020年7月6日
FlowQA: Grasping Flow in History for Conversational Machine Comprehension
专知会员服务
34+阅读 · 2019年10月18日
Keras François Chollet 《Deep Learning with Python 》, 386页pdf
专知会员服务
164+阅读 · 2019年10月12日
开源书:PyTorch深度学习起步
专知会员服务
51+阅读 · 2019年10月11日
强化学习最新教程,17页pdf
专知会员服务
182+阅读 · 2019年10月11日
【SIGGRAPH2019】TensorFlow 2.0深度学习计算机图形学应用
专知会员服务
41+阅读 · 2019年10月9日
学习自然语言处理路线图
专知会员服务
140+阅读 · 2019年9月24日
相关资讯
Unsupervised Learning via Meta-Learning
CreateAMind
44+阅读 · 2019年1月3日
A Technical Overview of AI & ML in 2018 & Trends for 2019
待字闺中
18+阅读 · 2018年12月24日
利用动态深度学习预测金融时间序列基于Python
量化投资与机器学习
18+阅读 · 2018年10月30日
disentangled-representation-papers
CreateAMind
26+阅读 · 2018年9月12日
STRCF for Visual Object Tracking
统计学习与视觉计算组
15+阅读 · 2018年5月29日
Focal Loss for Dense Object Detection
统计学习与视觉计算组
12+阅读 · 2018年3月15日
相关基金
国家自然科学基金
2+阅读 · 2017年12月31日
国家自然科学基金
18+阅读 · 2017年12月31日
国家自然科学基金
2+阅读 · 2015年12月31日
国家自然科学基金
1+阅读 · 2015年12月31日
国家自然科学基金
2+阅读 · 2015年12月31日
国家自然科学基金
0+阅读 · 2015年12月31日
国家自然科学基金
0+阅读 · 2014年12月31日
国家自然科学基金
0+阅读 · 2014年12月31日
国家自然科学基金
6+阅读 · 2014年12月31日
国家自然科学基金
0+阅读 · 2014年12月31日
Top
微信扫码咨询专知VIP会员