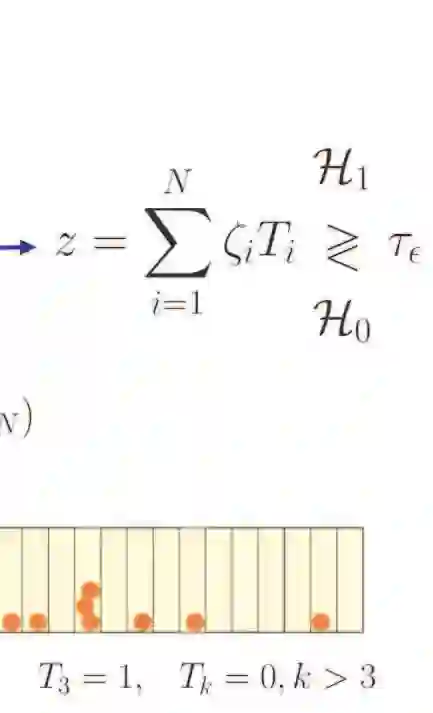
An innovations sequence of a time series is a sequence of independent and identically distributed random variables with which the original time series has a causal representation. The innovation at a time is statistically independent of the history of the time series. As such, it represents the new information contained at present but not in the past. Because of its simple probability structure, an innovations sequence is the most efficient signature of the original. Unlike the principle or independent component analysis representations, an innovations sequence preserves not only the complete statistical properties but also the temporal order of the original time series. An long-standing open problem is to find a computationally tractable way to extract an innovations sequence of non-Gaussian processes. This paper presents a deep learning approach, referred to as Innovations Autoencoder (IAE), that extracts innovations sequences using a causal convolutional neural network. An application of IAE to the one-class anomalous sequence detection problem with unknown anomaly and anomaly-free models is also presented.


翻译:时间序列的创新序列是一个独立且分布相同的随机变量序列,原始时间序列具有因果代表。 一次创新在统计上独立于时间序列的历史。 因此, 它代表了当前而不是过去的新信息。 由于其简单的概率结构, 创新序列是原始的最为高效的签名。 与原则或独立组成部分分析说明不同, 创新序列不仅保留完整的统计属性, 也保留原始时间序列的时间顺序。 一个长期存在的未决问题是找到一种可计算可移动的方法, 以提取非Gaussian进程的创新序列。 本文展示了一种深层次的学习方法, 被称为“ 创新自动编码” (IAE), 利用因果关系的共生神经网络来提取创新序列。 也介绍了IAE 用于单类异常和无异常模型的异常序列探测问题。

0
下载
关闭预览

相关内容

自动编码器是一种人工神经网络,用于以无监督的方式学习有效的数据编码。自动编码器的目的是通过训练网络忽略信号“噪声”来学习一组数据的表示(编码),通常用于降维。与简化方面一起,学习了重构方面,在此,自动编码器尝试从简化编码中生成尽可能接近其原始输入的表示形式,从而得到其名称。基本模型存在几种变体,其目的是迫使学习的输入表示形式具有有用的属性。自动编码器可有效地解决许多应用问题,从面部识别到获取单词的语义。
专知会员服务
34+阅读 · 2021年9月16日
【干货书】机器学习速查手册,135页pdf
专知会员服务
127+阅读 · 2020年11月20日
因果图,Causal Graphs,52页ppt
专知会员服务
253+阅读 · 2020年4月19日
Keras François Chollet 《Deep Learning with Python 》, 386页pdf
专知会员服务
164+阅读 · 2019年10月12日
强化学习最新教程,17页pdf
专知会员服务
182+阅读 · 2019年10月11日
[综述]深度学习下的场景文本检测与识别
专知会员服务
78+阅读 · 2019年10月10日
异常检测(Anomaly Detection)综述
极市平台
20+阅读 · 2020年10月24日
异常检测论文大列表:方法、应用、综述
专知
126+阅读 · 2019年7月15日
Hierarchically Structured Meta-learning
CreateAMind
27+阅读 · 2019年5月22日
Disentangled的假设的探讨
CreateAMind
9+阅读 · 2018年12月10日
disentangled-representation-papers
CreateAMind
26+阅读 · 2018年9月12日
Hierarchical Disentangled Representations
CreateAMind
4+阅读 · 2018年4月15日
【推荐】深度学习情感分析综述
机器学习研究会
58+阅读 · 2018年1月26日
计算机视觉近一年进展综述
机器学习研究会
9+阅读 · 2017年11月25日
【推荐】用Tensorflow理解LSTM
机器学习研究会
36+阅读 · 2017年9月11日
Auto-Encoding GAN
CreateAMind
7+阅读 · 2017年8月4日
A Survey on GANs for Anomaly Detection
Arxiv
7+阅读 · 2021年9月14日
Learning Memory-guided Normality for Anomaly Detection
Anomalous Instance Detection in Deep Learning: A Survey
q-Space Novelty Detection with Variational Autoencoders
Arxiv
3+阅读 · 2018年6月5日
Arxiv
4+阅读 · 2018年3月19日
Arxiv
6+阅读 · 2018年1月29日
VIP会员
最新内容
2025年大语言模型进展报告
专知会员服务
1+阅读 · 今天13:30
多智能体协作机制
专知会员服务
1+阅读 · 今天13:26
非对称优势:美海军开发低成本反无人机技术
专知会员服务
4+阅读 · 今天4:39
《美战争部小企业创新研究(SBIR)计划》
专知会员服务
6+阅读 · 今天2:48
《军事模拟:将军事条令与目标融入AI智能体》
专知会员服务
9+阅读 · 今天2:43
【NTU博士论文】3D人体动作生成
专知会员服务
7+阅读 · 4月24日
以色列军事技术对美国军力发展的持续性赋能
专知会员服务
8+阅读 · 4月24日
《深度强化学习在兵棋推演中的应用》40页报告
专知会员服务
14+阅读 · 4月24日
《多域作战面临复杂现实》
专知会员服务
10+阅读 · 4月24日
《印度的多域作战:条令与能力发展》报告
专知会员服务
5+阅读 · 4月24日
相关VIP内容
专知会员服务
34+阅读 · 2021年9月16日
【干货书】机器学习速查手册,135页pdf
专知会员服务
127+阅读 · 2020年11月20日
因果图,Causal Graphs,52页ppt
专知会员服务
253+阅读 · 2020年4月19日
Keras François Chollet 《Deep Learning with Python 》, 386页pdf
专知会员服务
164+阅读 · 2019年10月12日
强化学习最新教程,17页pdf
专知会员服务
182+阅读 · 2019年10月11日
[综述]深度学习下的场景文本检测与识别
专知会员服务
78+阅读 · 2019年10月10日
相关资讯
异常检测(Anomaly Detection)综述
极市平台
20+阅读 · 2020年10月24日
异常检测论文大列表:方法、应用、综述
专知
126+阅读 · 2019年7月15日
Hierarchically Structured Meta-learning
CreateAMind
27+阅读 · 2019年5月22日
Disentangled的假设的探讨
CreateAMind
9+阅读 · 2018年12月10日
disentangled-representation-papers
CreateAMind
26+阅读 · 2018年9月12日
Hierarchical Disentangled Representations
CreateAMind
4+阅读 · 2018年4月15日
【推荐】深度学习情感分析综述
机器学习研究会
58+阅读 · 2018年1月26日
计算机视觉近一年进展综述
机器学习研究会
9+阅读 · 2017年11月25日
【推荐】用Tensorflow理解LSTM
机器学习研究会
36+阅读 · 2017年9月11日
Auto-Encoding GAN
CreateAMind
7+阅读 · 2017年8月4日
相关论文
A Survey on GANs for Anomaly Detection
Arxiv
7+阅读 · 2021年9月14日
Learning Memory-guided Normality for Anomaly Detection
Anomalous Instance Detection in Deep Learning: A Survey
q-Space Novelty Detection with Variational Autoencoders
Arxiv
3+阅读 · 2018年6月5日
Arxiv
4+阅读 · 2018年3月19日
Arxiv
6+阅读 · 2018年1月29日
Top
微信扫码咨询专知VIP会员