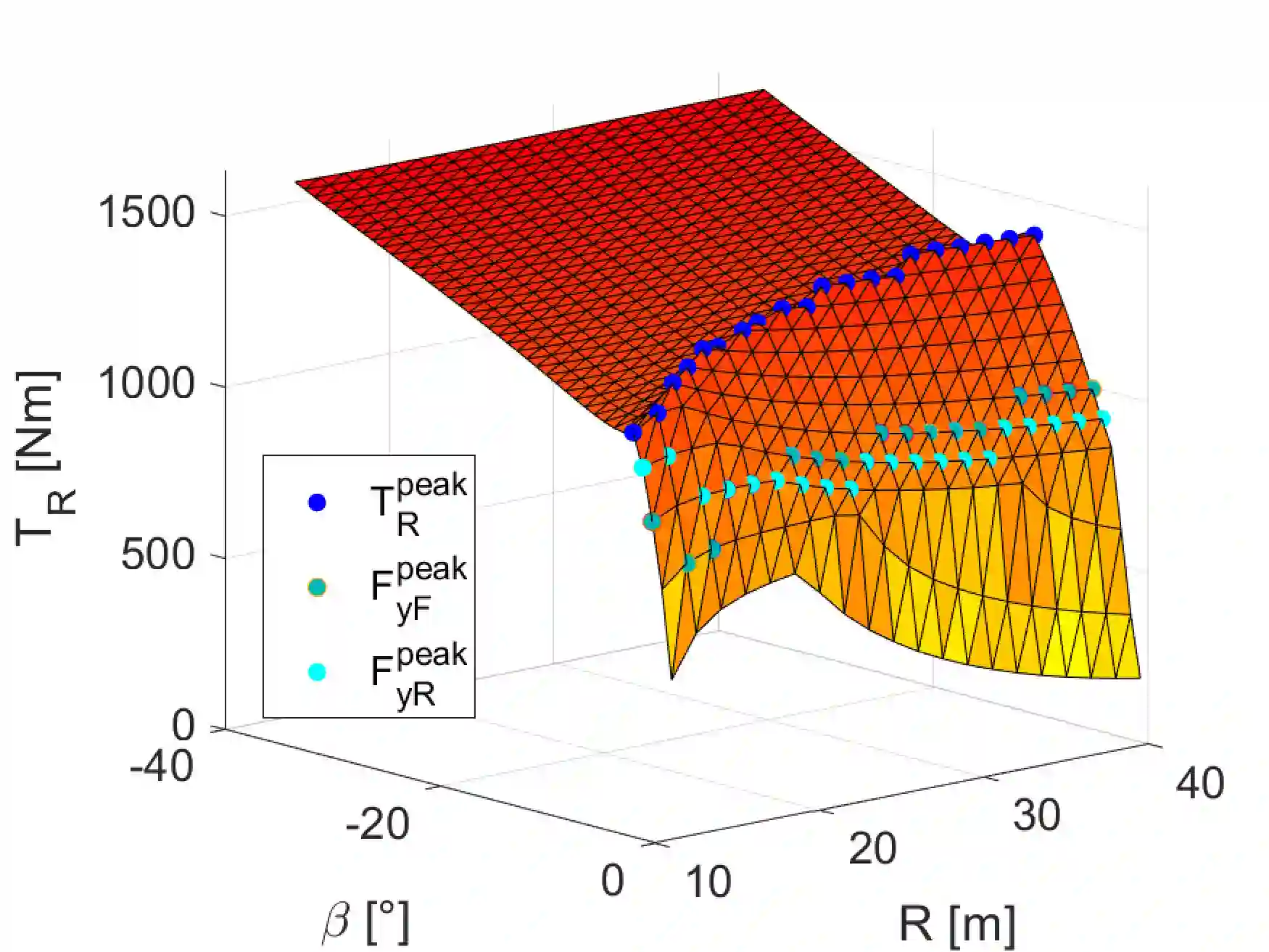
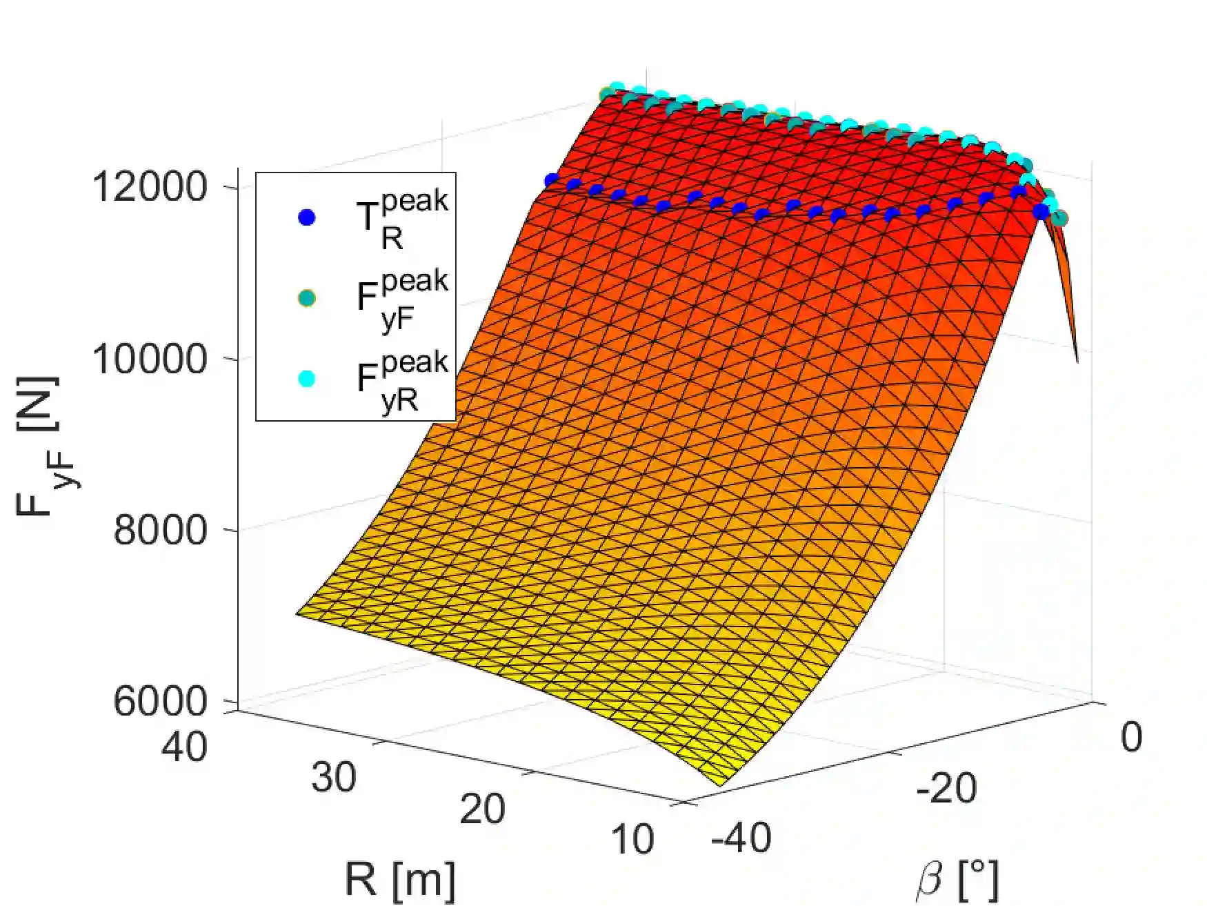
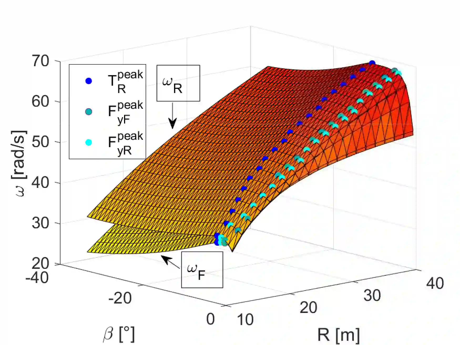
This paper presents a novel approach to automated drifting with a standard passenger vehicle, which involves a Nonlinear Model Predictive Control to stabilise and maintain the vehicle at high sideslip angle conditions. The proposed controller architecture is split into three components. The first part consists of the offline computed equilibrium maps, which provide the equilibrium points for each vehicle state given the desired sideslip angle and radius of the path. The second is the predictive controller minimising the errors between the equilibrium and actual vehicle states. The third is a path-following controller, which reduces the path error, altering the equilibrium curvature path. In a high-fidelity simulation environment, we validate the controller architecture capacity to stabilise the vehicle in automated drifting along a desired path, with a maximal lateral path deviation of 1 m. In the experiments with a standard passenger vehicle, we demonstrate that the proposed approach is capable of bringing and maintaining the vehicle at the desired 30 deg sideslip angle in both high and low friction conditions.


翻译:本文提出一种面向标准乘用车自动漂移的新方法,通过非线性模型预测控制实现车辆在大侧偏角条件下的稳定性控制与维持。所提出的控制器架构分为三个部分:第一部分为离线计算生成的平衡态映射图,该映射图能根据期望侧偏角与路径曲率半径提供各车辆状态对应的平衡点;第二部分为预测控制器,用于最小化平衡态与实际车辆状态之间的误差;第三部分为路径跟踪控制器,通过修正平衡曲率路径来减小路径偏差。在高保真仿真环境中,我们验证了该控制器架构在沿期望路径自动漂移时稳定车辆的能力,其最大横向路径偏差为1米。在标准乘用车实车实验中,我们证明了所提方法能够在高摩擦与低摩擦两种路面条件下,将车辆引导并稳定保持在30度期望侧偏角状态。

0
下载
关闭预览

相关内容

Linux导论,Introduction to Linux,96页ppt
专知会员服务
82+阅读 · 2020年7月26日
FlowQA: Grasping Flow in History for Conversational Machine Comprehension
专知会员服务
34+阅读 · 2019年10月18日
Stabilizing Transformers for Reinforcement Learning
专知会员服务
60+阅读 · 2019年10月17日
《DeepGCNs: Making GCNs Go as Deep as CNNs》
专知会员服务
32+阅读 · 2019年10月17日
Keras François Chollet 《Deep Learning with Python 》, 386页pdf
专知会员服务
164+阅读 · 2019年10月12日
【SIGGRAPH2019】TensorFlow 2.0深度学习计算机图形学应用
专知会员服务
41+阅读 · 2019年10月9日
Hierarchically Structured Meta-learning
CreateAMind
27+阅读 · 2019年5月22日
Transferring Knowledge across Learning Processes
CreateAMind
29+阅读 · 2019年5月18日
强化学习的Unsupervised Meta-Learning
CreateAMind
18+阅读 · 2019年1月7日
Unsupervised Learning via Meta-Learning
CreateAMind
44+阅读 · 2019年1月3日
meta learning 17年:MAML SNAIL
CreateAMind
11+阅读 · 2019年1月2日
A Technical Overview of AI & ML in 2018 & Trends for 2019
待字闺中
18+阅读 · 2018年12月24日
STRCF for Visual Object Tracking
统计学习与视觉计算组
15+阅读 · 2018年5月29日
Focal Loss for Dense Object Detection
统计学习与视觉计算组
12+阅读 · 2018年3月15日
IJCAI | Cascade Dynamics Modeling with Attention-based RNN
KingsGarden
13+阅读 · 2017年7月16日
From Softmax to Sparsemax-ICML16(1)
KingsGarden
74+阅读 · 2016年11月26日
国家自然科学基金
13+阅读 · 2017年12月31日
国家自然科学基金
3+阅读 · 2015年12月31日
国家自然科学基金
1+阅读 · 2015年12月31日
国家自然科学基金
1+阅读 · 2015年12月31日
国家自然科学基金
47+阅读 · 2015年12月31日
国家自然科学基金
2+阅读 · 2015年12月31日
国家自然科学基金
0+阅读 · 2014年12月31日
国家自然科学基金
0+阅读 · 2014年12月31日
国家自然科学基金
2+阅读 · 2014年12月31日
Arxiv
0+阅读 · 2024年6月24日
VIP会员
最新内容
2026“人工智能+”行业发展蓝皮书(附下载)
专知会员服务
9+阅读 · 4月26日
《强化学习数学基础》
专知会员服务
5+阅读 · 4月26日
“Maven计划”的发展演变之“Maven智能系统”应用
《无人机革命:来自俄乌战场的启示》(报告)
《实现联合作战能力所需的技术》58页报告
专知会员服务
7+阅读 · 4月26日
以色列运用人工智能优化空袭警报系统
专知会员服务
5+阅读 · 4月26日
以色列在多条战线部署AI智能体
专知会员服务
7+阅读 · 4月26日
相关资讯
Hierarchically Structured Meta-learning
CreateAMind
27+阅读 · 2019年5月22日
Transferring Knowledge across Learning Processes
CreateAMind
29+阅读 · 2019年5月18日
强化学习的Unsupervised Meta-Learning
CreateAMind
18+阅读 · 2019年1月7日
Unsupervised Learning via Meta-Learning
CreateAMind
44+阅读 · 2019年1月3日
meta learning 17年:MAML SNAIL
CreateAMind
11+阅读 · 2019年1月2日
A Technical Overview of AI & ML in 2018 & Trends for 2019
待字闺中
18+阅读 · 2018年12月24日
STRCF for Visual Object Tracking
统计学习与视觉计算组
15+阅读 · 2018年5月29日
Focal Loss for Dense Object Detection
统计学习与视觉计算组
12+阅读 · 2018年3月15日
IJCAI | Cascade Dynamics Modeling with Attention-based RNN
KingsGarden
13+阅读 · 2017年7月16日
From Softmax to Sparsemax-ICML16(1)
KingsGarden
74+阅读 · 2016年11月26日
相关基金
国家自然科学基金
13+阅读 · 2017年12月31日
国家自然科学基金
3+阅读 · 2015年12月31日
国家自然科学基金
1+阅读 · 2015年12月31日
国家自然科学基金
1+阅读 · 2015年12月31日
国家自然科学基金
47+阅读 · 2015年12月31日
国家自然科学基金
2+阅读 · 2015年12月31日
国家自然科学基金
0+阅读 · 2014年12月31日
国家自然科学基金
0+阅读 · 2014年12月31日
国家自然科学基金
2+阅读 · 2014年12月31日
Top
微信扫码咨询专知VIP会员