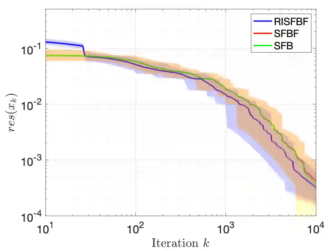
In this paper we propose a new operator splitting algorithm for distributed Nash equilibrium seeking under stochastic uncertainty, featuring relaxation and inertial effects. Our work is inspired by recent deterministic operator splitting methods, designed for solving structured monotone inclusion problems. The algorithm is derived from a forward-backward-forward scheme for solving structured monotone inclusion problems featuring a Lipschitz continuous and monotone game operator. To the best of our knowledge, this is the first distributed (generalized) Nash equilibrium seeking algorithm featuring acceleration techniques in stochastic Nash games without assuming cocoercivity. Numerical examples illustrate the effect of inertia and relaxation on the performance of our proposed algorithm.


翻译:在本文中,我们建议为分布式纳什均衡提供一个新的操作员分离算法,在随机不确定性下寻求分布式纳什均衡,其特点是放松和惯性效应。我们的工作受到最近决定式操作员分裂方法的启发,该算法旨在解决结构化的单调包容问题。该算法来自一个前向前向前向式计划,旨在解决结构化的单调包容问题,由利普施茨连续和单调游戏操作员组成。据我们所知,这是第一个(通用的)分配式纳什平衡,寻求在不假定共振纳什游戏中加速技术的计算法。数字示例说明了惰性和放松对我们拟议算法的绩效的影响。

0
下载
关闭预览

相关内容

专知会员服务
26+阅读 · 2021年4月2日
专知会员服务
52+阅读 · 2020年12月14日
强化学习最新教程,17页pdf
专知会员服务
182+阅读 · 2019年10月11日
Hierarchically Structured Meta-learning
CreateAMind
27+阅读 · 2019年5月22日
Call for Participation: Shared Tasks in NLPCC 2019
中国计算机学会
5+阅读 · 2019年3月22日
强化学习的Unsupervised Meta-Learning
CreateAMind
18+阅读 · 2019年1月7日
A Technical Overview of AI & ML in 2018 & Trends for 2019
待字闺中
18+阅读 · 2018年12月24日
carla 学习笔记
CreateAMind
9+阅读 · 2018年2月7日
【论文】变分推断(Variational inference)的总结
机器学习研究会
39+阅读 · 2017年11月16日
Auto-Encoding GAN
CreateAMind
7+阅读 · 2017年8月4日
强化学习 cartpole_a3c
CreateAMind
9+阅读 · 2017年7月21日
Arxiv
0+阅读 · 2021年5月17日
Arxiv
5+阅读 · 2017年12月14日
VIP会员
最新内容
【NTU博士论文】3D人体动作生成
专知会员服务
2+阅读 · 4月24日
以色列军事技术对美国军力发展的持续性赋能
专知会员服务
8+阅读 · 4月24日
《深度强化学习在兵棋推演中的应用》40页报告
专知会员服务
10+阅读 · 4月24日
《多域作战面临复杂现实》
专知会员服务
8+阅读 · 4月24日
《印度的多域作战:条令与能力发展》报告
专知会员服务
3+阅读 · 4月24日
相关资讯
Hierarchically Structured Meta-learning
CreateAMind
27+阅读 · 2019年5月22日
Call for Participation: Shared Tasks in NLPCC 2019
中国计算机学会
5+阅读 · 2019年3月22日
强化学习的Unsupervised Meta-Learning
CreateAMind
18+阅读 · 2019年1月7日
A Technical Overview of AI & ML in 2018 & Trends for 2019
待字闺中
18+阅读 · 2018年12月24日
carla 学习笔记
CreateAMind
9+阅读 · 2018年2月7日
【论文】变分推断(Variational inference)的总结
机器学习研究会
39+阅读 · 2017年11月16日
Auto-Encoding GAN
CreateAMind
7+阅读 · 2017年8月4日
强化学习 cartpole_a3c
CreateAMind
9+阅读 · 2017年7月21日
Top
微信扫码咨询专知VIP会员