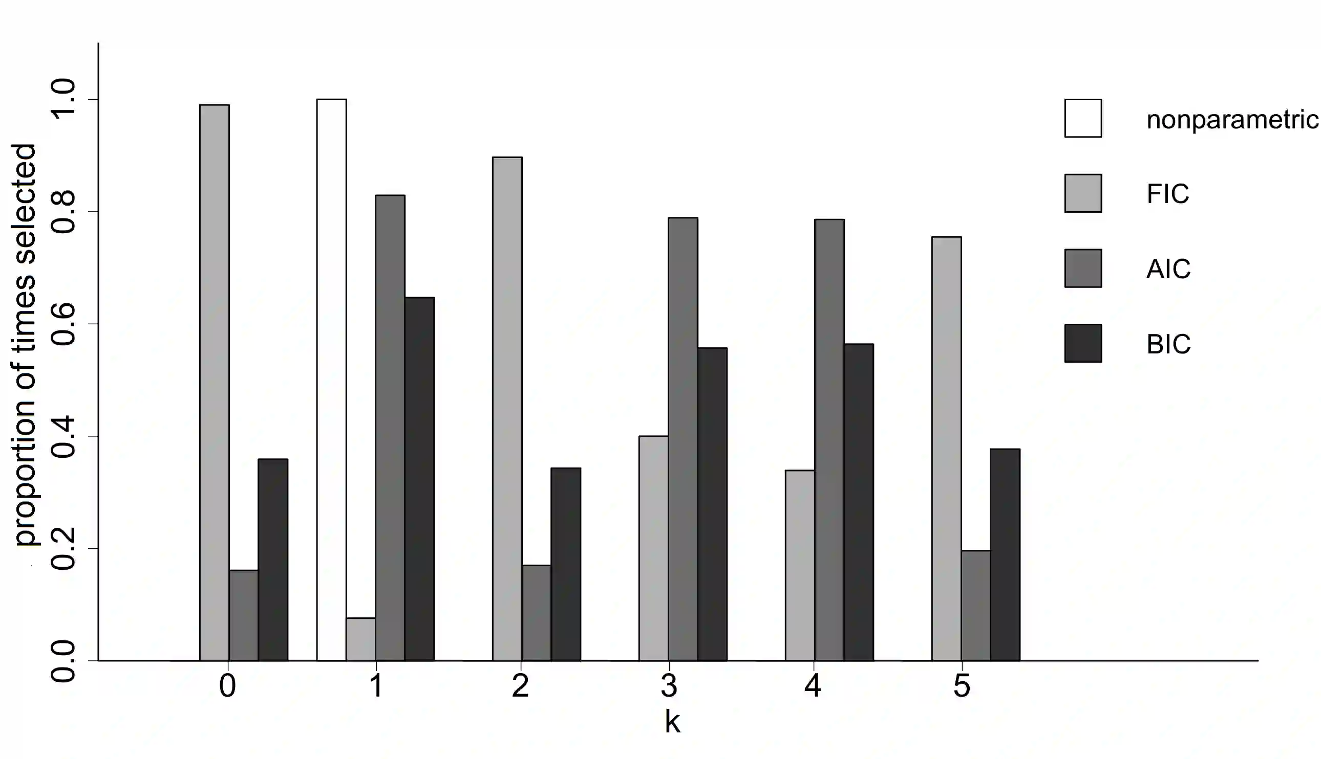
We seek to narrow the gap between parametric and nonparametric modelling of stationary time series processes. The approach is inspired by recent advances in focused inference and model selection techniques. The paper generalises and extends recent work by developing a new version of the focused information criterion (FIC), directly comparing the performance of parametric time series models with a nonparametric alternative. For a pre-specified focused parameter, for which scrutiny is considered valuable, this is achieved by comparing the mean squared error of the model-based estimators of this quantity. In particular, this yields FIC formulae for covariances or correlations at specified lags, for the probability of reaching a threshold, etc. Suitable weighted average versions, the AFIC, also lead to model selection strategies for finding the best model for the purpose of estimating e.g.~a sequence of correlations.


翻译:本文旨在缩小平稳时间序列过程参数化建模与非参数化建模之间的差距。该方法受到聚焦推断与模型选择技术最新进展的启发。通过发展聚焦信息准则(FIC)的新版本,本文推广并扩展了近期研究成果,直接比较参数化时间序列模型与非参数替代模型的性能。针对预先指定的、被认为具有重要研究价值的聚焦参数,该方法通过比较基于不同模型的该参数估计量的均方误差来实现上述比较。特别地,该方法推导出特定滞后阶数的协方差或相关系数、达到阈值的概率等参数的FIC计算公式。通过构建合适的加权平均版本(AFIC),还可形成针对特定目标的模型选择策略,例如在估计相关系数序列时寻找最优模型。

0
下载
关闭预览

相关内容

【ICML2025】用于概率时间序列预测的非平稳扩散方法
专知会员服务
10+阅读 · 2025年5月10日
【KDD2024】CAFO:基于特征的时间序列分类解释
专知会员服务
25+阅读 · 2024年6月5日
时间序列和时空数据扩散模型综述
专知会员服务
64+阅读 · 2024年5月1日
【干货书】用于数据科学分析和预测的时间序列,529页pdf
专知会员服务
123+阅读 · 2022年10月10日
时间序列计量经济学
专知会员服务
49+阅读 · 2022年4月8日
NeurIPS 2021 | 微观特征混合进行宏观时间序列预测
专知会员服务
43+阅读 · 2021年11月12日
专知会员服务
237+阅读 · 2020年12月15日
时空序列预测方法综述
专知
22+阅读 · 2020年10月19日
你真的懂时间序列预测吗?
腾讯大讲堂
104+阅读 · 2019年1月7日
R语言时间序列分析
R语言中文社区
12+阅读 · 2018年11月19日
R语言之数据分析高级方法「时间序列」
R语言中文社区
17+阅读 · 2018年4月24日
国家自然科学基金
1+阅读 · 2015年12月31日
国家自然科学基金
0+阅读 · 2015年12月31日
国家自然科学基金
0+阅读 · 2015年12月31日
国家自然科学基金
0+阅读 · 2015年12月31日
国家自然科学基金
23+阅读 · 2015年12月31日
国家自然科学基金
0+阅读 · 2014年12月31日
国家自然科学基金
0+阅读 · 2014年12月31日
国家自然科学基金
1+阅读 · 2014年12月31日
国家自然科学基金
14+阅读 · 2008年12月31日
VIP会员
最新内容
BES:让语言模型通过双向进化搜索自我改进
专知会员服务
3+阅读 · 5月30日
以色列-美国-伊朗战争中的无人机:关键要点
专知会员服务
4+阅读 · 5月30日
《Palantir任务保障性软件安全标准(MA-S2)》
专知会员服务
10+阅读 · 5月30日
基于声学的无人机检测技术综述
专知会员服务
7+阅读 · 5月30日
《当代混合战争分析框架:俄乌战争经验教训》
战略前沿人工智能的再思考(中文)
专知会员服务
8+阅读 · 5月29日
《量化地基防空系统间接效应的博弈论方法》
专知会员服务
6+阅读 · 5月29日
相关VIP内容
【ICML2025】用于概率时间序列预测的非平稳扩散方法
专知会员服务
10+阅读 · 2025年5月10日
【KDD2024】CAFO:基于特征的时间序列分类解释
专知会员服务
25+阅读 · 2024年6月5日
时间序列和时空数据扩散模型综述
专知会员服务
64+阅读 · 2024年5月1日
【干货书】用于数据科学分析和预测的时间序列,529页pdf
专知会员服务
123+阅读 · 2022年10月10日
时间序列计量经济学
专知会员服务
49+阅读 · 2022年4月8日
NeurIPS 2021 | 微观特征混合进行宏观时间序列预测
专知会员服务
43+阅读 · 2021年11月12日
专知会员服务
237+阅读 · 2020年12月15日
相关基金
国家自然科学基金
1+阅读 · 2015年12月31日
国家自然科学基金
0+阅读 · 2015年12月31日
国家自然科学基金
0+阅读 · 2015年12月31日
国家自然科学基金
0+阅读 · 2015年12月31日
国家自然科学基金
23+阅读 · 2015年12月31日
国家自然科学基金
0+阅读 · 2014年12月31日
国家自然科学基金
0+阅读 · 2014年12月31日
国家自然科学基金
1+阅读 · 2014年12月31日
国家自然科学基金
14+阅读 · 2008年12月31日
Top
微信扫码咨询专知VIP会员