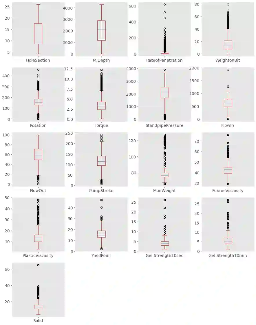
This study presents machine learning models that forecast and categorize lost circulation severity preemptively using a large class imbalanced drilling dataset. We demonstrate reproducible core techniques involved in tackling a large drilling engineering challenge utilizing easily interpretable machine learning approaches. We utilized a 65,000+ records data with class imbalance problem from Azadegan oilfield formations in Iran. Eleven of the dataset's seventeen parameters are chosen to be used in the classification of five lost circulation events. To generate classification models, we used six basic machine learning algorithms and four ensemble learning methods. Linear Discriminant Analysis (LDA), Logistic Regression (LR), Support Vector Machines (SVM), Classification and Regression Trees (CART), k-Nearest Neighbors (KNN), and Gaussian Naive Bayes (GNB) are the six fundamental techniques. We also used bagging and boosting ensemble learning techniques in the investigation of solutions for improved predicting performance. The performance of these algorithms is measured using four metrics: accuracy, precision, recall, and F1-score. The F1-score weighted to represent the data imbalance is chosen as the preferred evaluation criterion. The CART model was found to be the best in class for identifying drilling fluid circulation loss events with an average weighted F1-score of 0.9904 and standard deviation of 0.0015. Upon application of ensemble learning techniques, a Random Forest ensemble of decision trees showed the best predictive performance. It identified and classified lost circulation events with a perfect weighted F1-score of 1.0. Using Permutation Feature Importance (PFI), the measured depth was found to be the most influential factor in accurately recognizing lost circulation events while drilling.


翻译:这项研究展示了机器学习模型,用大型分类不平衡的钻探数据集来预先预测和分类失去的循环强度。我们展示了利用易于解释的机器学习方法应对大型钻探工程挑战的可复制的核心技术。我们使用了伊朗Azadegan油田形成过程中的65 000+记录数据,而伊朗的Azadegan油田形成过程中出现了阶级不平衡问题。选择了数据集的17个参数中的11个参数,用于对5个丢失的循环事件进行分类。为了生成分类模型,我们使用了6个基本机器学习算法和4个连数性学习方法。线性分辨分析(LDA)、物流回归(LRL)、支持矢量计算(SVM)、分类和回归(SVM)、分类和回归树(KNN)、KNNN(KNN)和Gaussian Naive Bayes (GNB),这是六种基本技术。我们还使用了谷分解和增量学习技术来改进预测业绩。这些算法的性能用4度分析法测量:精确性、测算、测量和F1-AAR-R8的精度的精度的精度结构,用最精度的精度的精度计算, 以显示的精度计算,以显示的精度的精度的精度的精度数据流流流流数据显示的精度的精度的精度计算。

1
下载
关闭预览

相关内容

【干货书】机器学习速查手册,135页pdf
专知会员服务
127+阅读 · 2020年11月20日
零样本文本分类,Zero-Shot Learning for Text Classification
专知会员服务
97+阅读 · 2020年5月31日
【干货书】真实机器学习,264页pdf,Real-World Machine Learning
专知会员服务
162+阅读 · 2020年1月16日
[综述]深度学习下的场景文本检测与识别
专知会员服务
78+阅读 · 2019年10月10日
机器学习入门的经验与建议
专知会员服务
94+阅读 · 2019年10月10日
【哈佛大学商学院课程Fall 2019】机器学习可解释性
专知会员服务
105+阅读 · 2019年10月9日
AIART 2022 Call for Papers
CCF多媒体专委会
1+阅读 · 2022年2月13日
【ICIG2021】Latest News & Announcements of the Tutorial
中国图象图形学学会CSIG
3+阅读 · 2021年12月20日
【ICIG2021】Check out the hot new trailer of ICIG2021 Symposium7
中国图象图形学学会CSIG
0+阅读 · 2021年11月15日
【ICIG2021】Check out the hot new trailer of ICIG2021 Symposium5
中国图象图形学学会CSIG
1+阅读 · 2021年11月11日
【ICIG2021】Latest News & Announcements of the Plenary Talk1
中国图象图形学学会CSIG
0+阅读 · 2021年11月1日
【ICIG2021】Latest News & Announcements of the Industry Talk1
中国图象图形学学会CSIG
0+阅读 · 2021年7月28日
Hierarchically Structured Meta-learning
CreateAMind
27+阅读 · 2019年5月22日
Unsupervised Learning via Meta-Learning
CreateAMind
44+阅读 · 2019年1月3日
A Technical Overview of AI & ML in 2018 & Trends for 2019
待字闺中
18+阅读 · 2018年12月24日
disentangled-representation-papers
CreateAMind
26+阅读 · 2018年9月12日
国家自然科学基金
0+阅读 · 2012年12月31日
国家自然科学基金
0+阅读 · 2012年12月31日
国家自然科学基金
0+阅读 · 2011年12月31日
国家自然科学基金
1+阅读 · 2011年12月31日
国家自然科学基金
0+阅读 · 2009年12月31日
国家自然科学基金
0+阅读 · 2009年12月31日
国家自然科学基金
0+阅读 · 2009年12月31日
Arxiv
37+阅读 · 2021年8月2日
A Survey on Data Augmentation for Text Classification
Arxiv
16+阅读 · 2020年5月20日
Arxiv
12+阅读 · 2019年3月14日
VIP会员
最新内容
2026年俄罗斯新型喷气动力无人机Geran-5的技术规格
基于数据优化的人机协同与机器人僚机
专知会员服务
1+阅读 · 今天2:08
美陆军设想无人系统司令部
专知会员服务
3+阅读 · 4月15日
【博士论文】已对齐人工智能系统的持久脆弱性
扭曲还是编造?视频大语言模型幻觉研究综述
专知会员服务
2+阅读 · 4月15日
《采用系统思维应对混合战争》125页
专知会员服务
6+阅读 · 4月15日
战争机器学习:数据生态系统构建(155页)
专知会员服务
9+阅读 · 4月15日
相关VIP内容
【干货书】机器学习速查手册,135页pdf
专知会员服务
127+阅读 · 2020年11月20日
零样本文本分类,Zero-Shot Learning for Text Classification
专知会员服务
97+阅读 · 2020年5月31日
【干货书】真实机器学习,264页pdf,Real-World Machine Learning
专知会员服务
162+阅读 · 2020年1月16日
[综述]深度学习下的场景文本检测与识别
专知会员服务
78+阅读 · 2019年10月10日
机器学习入门的经验与建议
专知会员服务
94+阅读 · 2019年10月10日
【哈佛大学商学院课程Fall 2019】机器学习可解释性
专知会员服务
105+阅读 · 2019年10月9日
相关资讯
AIART 2022 Call for Papers
CCF多媒体专委会
1+阅读 · 2022年2月13日
【ICIG2021】Latest News & Announcements of the Tutorial
中国图象图形学学会CSIG
3+阅读 · 2021年12月20日
【ICIG2021】Check out the hot new trailer of ICIG2021 Symposium7
中国图象图形学学会CSIG
0+阅读 · 2021年11月15日
【ICIG2021】Check out the hot new trailer of ICIG2021 Symposium5
中国图象图形学学会CSIG
1+阅读 · 2021年11月11日
【ICIG2021】Latest News & Announcements of the Plenary Talk1
中国图象图形学学会CSIG
0+阅读 · 2021年11月1日
【ICIG2021】Latest News & Announcements of the Industry Talk1
中国图象图形学学会CSIG
0+阅读 · 2021年7月28日
Hierarchically Structured Meta-learning
CreateAMind
27+阅读 · 2019年5月22日
Unsupervised Learning via Meta-Learning
CreateAMind
44+阅读 · 2019年1月3日
A Technical Overview of AI & ML in 2018 & Trends for 2019
待字闺中
18+阅读 · 2018年12月24日
disentangled-representation-papers
CreateAMind
26+阅读 · 2018年9月12日
相关基金
国家自然科学基金
0+阅读 · 2012年12月31日
国家自然科学基金
0+阅读 · 2012年12月31日
国家自然科学基金
0+阅读 · 2011年12月31日
国家自然科学基金
1+阅读 · 2011年12月31日
国家自然科学基金
0+阅读 · 2009年12月31日
国家自然科学基金
0+阅读 · 2009年12月31日
国家自然科学基金
0+阅读 · 2009年12月31日
Top
微信扫码咨询专知VIP会员