现实世界中诸多问题需进行序列决策,其中每个决策的结果具有概率性与不确定性,且后续行动的可选性受先前行动结果制约。生成适应不确定性、全局最优且随状态空间扩展仍可扩展的策略至关重要。本文提出生成最优决策树(规定不同结果场景下的应执行动作,同时最大化策略期望收益),结合动态规划与混合整数线性优化方法,利用问题特定信息剪除状态空间中无收益贡献的子集,使方案适用于大规模有限状态空间问题。实验证明所提方法能以线性时间复杂度(相对于探索状态数量)找到全局最优决策树。

序列决策是兵棋推演、医疗与网络作战等领域的核心问题。在此类场景中,智能体采取行动达成目标,但每项行动的产出具有离散性、概率性与不确定性,导致面对多可能未来时难以确定最优行动。此外,可用行动存在复杂条件依赖性(制约策略可能性),同时需考虑远期收益。本文开发了一种方法,用于定义适应不同行动结果的最优决策序列,并以决策树形式呈现。

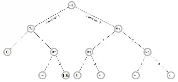
尽管决策树是机器学习中成熟模型,但其传统用途为预测——预测型决策树(DT)的每个分叉对应已知数据特征的组合(其对应结果未知)。而在行动方案(CoA)生成场景中,决策树的应用转向策略生成,允许基于先前行动的不确定结果定义最优行动序列。如图1所示:CoA树的每个节点代表系统状态并规定一项行动,其执行结果引发状态变迁(通过行动结果的概率性分支转移至子节点,可触发新行动)。树终止于叶节点(行动预算耗尽、状态不允许新行动或目标达成获取收益)。

图1:含二元分叉的最优决策树示例(各节点为带行动指令的状态)

本研究核心贡献为生成全局最优决策树的算法与优化模型。这些决策树在最大化策略期望收益的同时,兼顾行动与结果间的复杂依赖关系。通过动态规划(DP)与混合整数优化(MIO)结合,利用问题特定信息剪除状态空间无效子集,使方法可扩展至大规模状态空间问题。虽非首个提出通过部分行动剪枝缩减状态空间的研究(如Pinto与Fern 2014年工作),但本方法在最终决策模型中不牺牲全局最优性。通过示例验证方法有效性,并在随机生成测试案例中展示计算效率——尤其值得注意的是,本方法能以线性时间复杂度(相对于探索状态数)找到最优决策树。

所提框架可生成符合以下特征问题的全局最优决策树:

  1. 智能体采取具离散概率结果的行动(改变环境状态)
  2. 状态捕获环境所有相关信息及智能体历史行动信息
  3. 决策空间有限,终止于目标达成或无可用行动
  4. 行动可具复杂依赖关系,例如:
    • 先决条件:须先执行某行动并达成特定结果方可尝试后续行动
    • 排除条件:若执行某行动并达成特定结果则禁止尝试其他行动

如第3节示例所示,行动间依赖关系可通过行动与结果的逻辑关系集进行数学与图形化表达。

成为VIP会员查看完整内容
16

相关内容

人工智能在军事中可用于多项任务,例如目标识别、大数据处理、作战系统、网络安全、后勤运输、战争医疗、威胁和安全监测以及战斗模拟和训练。
《面相混合威胁建模的贝叶斯网络方法》最新报告
专知会员服务
24+阅读 · 2025年7月30日
《基于大型语言模型的软件工程自动化研究》最新264页
专知会员服务
38+阅读 · 2025年7月14日
《设计人机协作:一种充分统计量方法》最新72页
专知会员服务
17+阅读 · 2025年7月7日
《基于信念的决策建模计算框架》141页
专知会员服务
70+阅读 · 2024年4月27日
《科学机器学习中神经网络结构的比较》最新65页报告
专知会员服务
28+阅读 · 2024年3月5日
【2022新书】深度学习归一化技术,117页pdf
专知
29+阅读 · 2022年11月25日
「知识增强预训练语言模型」最新研究综述
专知
18+阅读 · 2022年11月18日
面向多智能体博弈对抗的对手建模框架
专知
18+阅读 · 2022年9月28日
基于模型的强化学习综述
专知
42+阅读 · 2022年7月13日
最新《可解释人工智能》概述,50页ppt
专知
12+阅读 · 2021年3月17日
国家自然科学基金
8+阅读 · 2015年12月31日
国家自然科学基金
0+阅读 · 2015年12月31日
国家自然科学基金
0+阅读 · 2015年12月31日
国家自然科学基金
1+阅读 · 2015年12月31日
国家自然科学基金
6+阅读 · 2015年12月31日
国家自然科学基金
0+阅读 · 2015年12月31日
国家自然科学基金
0+阅读 · 2014年12月31日
国家自然科学基金
0+阅读 · 2014年12月31日
国家自然科学基金
1+阅读 · 2014年12月31日
国家自然科学基金
17+阅读 · 2008年12月31日
Arxiv
176+阅读 · 2023年4月20日
A Survey of Large Language Models
Arxiv
501+阅读 · 2023年3月31日
Arxiv
83+阅读 · 2023年3月26日
Arxiv
27+阅读 · 2023年3月17日
VIP会员
最新内容
《系统簇式多域作战规划范畴论框架》
专知会员服务
2+阅读 · 今天14:54
高效视频扩散模型:进展与挑战
专知会员服务
0+阅读 · 今天13:34
乌克兰前线的五项创新
专知会员服务
6+阅读 · 今天6:14
 军事通信系统与设备的技术演进综述
专知会员服务
4+阅读 · 今天5:59
《北约标准:医疗评估手册》174页
专知会员服务
4+阅读 · 今天5:51
《提升生成模型的安全性与保障》博士论文
专知会员服务
4+阅读 · 今天5:47
美国当前高超音速导弹发展概述
专知会员服务
4+阅读 · 4月19日
无人机蜂群建模与仿真方法
专知会员服务
13+阅读 · 4月19日
相关基金
国家自然科学基金
8+阅读 · 2015年12月31日
国家自然科学基金
0+阅读 · 2015年12月31日
国家自然科学基金
0+阅读 · 2015年12月31日
国家自然科学基金
1+阅读 · 2015年12月31日
国家自然科学基金
6+阅读 · 2015年12月31日
国家自然科学基金
0+阅读 · 2015年12月31日
国家自然科学基金
0+阅读 · 2014年12月31日
国家自然科学基金
0+阅读 · 2014年12月31日
国家自然科学基金
1+阅读 · 2014年12月31日
国家自然科学基金
17+阅读 · 2008年12月31日
微信扫码咨询专知VIP会员