BAT机器学习面试题1000题(361~365题)

2018 年 8 月 22 日 七月在线实验室

点击上方蓝字关注




BAT机器学习面试题1000题(361~365题)


361题

简单介绍下logistics回归?


答案

点击下方空白处获得答案

解析:

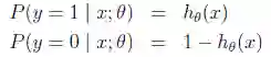
Logistic回归目的是从特征学习出一个0/1分类模型,而这个模型是将特性的线性组合作为自变量,由于自变量的取值范围是负无穷到正无穷。因此,使用logistic函数(或称作sigmoid函数)将自变量映射到(0,1)上,映射后的值被认为是属于y=1的概率。

假设函数

 其中x是n维特征向量,函数g就是logistic函数。
   而

的图像是

可以看到,将无穷映射到了(0,1)。
而假设函数就是特征属于y=1的概率。

 从而,当我们要判别一个新来的特征属于哪个类时,只需求 hθ(x) 即可,若 hθ(x) 大于0.5就是y=1的类,反之属于y=0类。





362题

说一下Adaboost,权值更新公式。当弱分类器是Gm时,每个样本的的权重是w1,w2...,请写出最终的决策公式。


答案

点击下方空白处获得答案

解析:

给定一个训练数据集T={(x1,y1), (x2,y2)…(xN,yN)},其中实例 x∈X,而实例空间 

yi属于标记集合{-1,+1},Adaboost的目的就是从训练数据中学习一系列弱分类器或基本分类器,然后将这些弱分类器组合成一个强分类器。

Adaboost的算法流程如下:
步骤1. 首先,初始化训练数据的权值分布。每一个训练样本最开始时都被赋予相同的权值:1/N。

步骤2. 进行多轮迭代,用m = 1,2, ..., M表示迭代的第多少轮
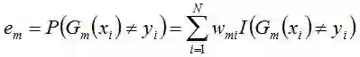
  a. 使用具有权值分布Dm的训练数据集学习,得到基本分类器(选取让误差率最低的阈值来设计基本分类器):

b. 计算Gm(x)在训练数据集上的分类误差率

由上述式子可知,Gm(x)在训练数据集上的误差率em就是被Gm(x)误分类样本的权值之和。


c. 计算Gm(x)的系数,am表示Gm(x)在最终分类器中的重要程度(目的:得到基本分类器在最终分类器中所占的权重):

由上述式子可知,em <= 1/2时,am >= 0,且am随着em的减小而增大,意味着分类误差率越小的基本分类器在最终分类器中的作用越大。
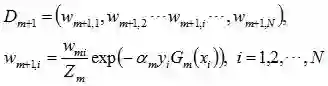
d. 更新训练数据集的权值分布(目的:得到样本的新的权值分布),用于下一轮迭代
由上述式子可知,em <= 1/2时,am >= 0,且am随着em的减小而增大,意味着分类误差率越小的基本分类器在最终分类器中的作用越大。
d. 更新训练数据集的权值分布(目的:得到样本的新的权值分布),用于下一轮迭代


使得被基本分类器Gm(x)误分类样本的权值增大,而被正确分类样本的权值减小。就这样,通过这样的方式,AdaBoost方法能“重点关注”或“聚焦于”那些较难分的样本上。
   其中,Zm是规范化因子,使得Dm+1成为一个概率分布:

步骤3. 组合各个弱分类器

从而得到最终分类器,如下:

更多请查看此文:《Adaboost 算法的原理与推导》(链接:http://blog.csdn.net/v_july_v/article/details/40718799)。




363题

经常在网上搜索东西的朋友知道,当你不小心输入一个不存在的单词时,搜索引擎会提示你是不是要输入某一个正确的单词,比如当你在Google中输入“Julw”时,系统会猜测你的意图:是不是要搜索“July”,如下图所示:


这叫做拼写检查。根据谷歌一员工写的文章显示,Google的拼写检查基于贝叶斯方法。请说说的你的理解,具体Google是怎么利用贝叶斯方法,实现"拼写检查"的功能。


答案

点击下方空白处获得答案

解析:

用户输入一个单词时,可能拼写正确,也可能拼写错误。如果把拼写正确的情况记做c(代表correct),拼写错误的情况记做w(代表wrong),那么"拼写检查"要做的事情就是:在发生w的情况下,试图推断出c。换言之:已知w,然后在若干个备选方案中,找出可能性最大的那个c,也就是求P(C|W)的最大值。

而根据贝叶斯定理,有:


由于对于所有备选的c来说,对应的都是同一个w,所以它们的P(w)是相同的,因此我们只要最大化

即可。其中:
P(c)表示某个正确的词的出现"概率",它可以用"频率"代替。如果我们有一个足够大的文本库,那么这个文本库中每个单词的出现频率,就相当于它的发生概率。某个词的出现频率越高,P(c)就越大。比如在你输入一个错误的词“Julw”时,系统更倾向于去猜测你可能想输入的词是“July”,而不是“Jult”,因为“July”更常见。

P(w|c)表示在试图拼写c的情况下,出现拼写错误w的概率。为了简化问题,假定两个单词在字形上越接近,就有越可能拼错,P(w|c)就越大。举例来说,相差一个字母的拼法,就比相差两个字母的拼法,发生概率更高。你想拼写单词July,那么错误拼成Julw(相差一个字母)的可能性,就比拼成Jullw高(相差两个字母)。值得一提的是,一般把这种问题称为“编辑距离”,参见博客中的这篇文章。
 

所以,我们比较所有拼写相近的词在文本库中的出现频率,再从中挑出出现频率最高的一个,即是用户最想输入的那个词。具体的计算过程及此方法的缺陷请参见这里。



364题

为什么朴素贝叶斯如此“朴素”?


解析:

答案

点击下方空白处获得答案

解析:

因为它假定所有的特征在数据集中的作用是同样重要和独立的。正如我们所知,这个假设在现实世界中是很不真实的,因此,说朴素贝叶斯真的很“朴素”。

朴素贝叶斯模型(Naive Bayesian Model)的朴素(Naive)的含义是"很简单很天真"地假设样本特征彼此独立. 这个假设现实中基本上不存在, 但特征相关性很小的实际情况还是很多的, 所以这个模型仍然能够工作得很好。
引用自:@AntZ



365题

请大致对比下plsa和LDA的区别


答案

点击下方空白处获得答案


解析:

pLSA中,主题分布和词分布确定后,以一定的概率

分别选取具体的主题和词项,生成好文档。而后根据生成好的文档反推其主题分布、词分布时,最终用EM算法(极大似然估计思想)求解出了两个未知但固定的参数的值:∅kj  (由

转换而来)
和 θik  

转换而来


文档d产生主题z的概率,主题z产生单词w的概率都是两个固定的值。

举个文档d产生主题z的例子。给定一篇文档d,主题分布是一定的,比如{ P(zi|d), i = 1,2,3 }可能就是{0.4,0.5,0.1},表示z1、z2、z3,这3个主题被文档d选中的概率都是个固定的值:P(z1|d) = 0.4、P(z2|d) = 0.5、P(z3|d) = 0.1,如下图所示(图截取自沈博PPT上):

但在贝叶斯框架下的LDA中,我们不再认为主题分布(各个主题在文档中出现的概率分布)和词分布(各个词语在某个主题下出现的概率分布)是唯一确定的(而是随机变量),而是有很多种可能。但一篇文档总得对应一个主题分布和一个词分布吧,怎么办呢?LDA为它们弄了两个Dirichlet先验参数,这个Dirichlet先验为某篇文档随机抽取出某个主题分布和词分布。

文档d产生主题z(准确的说,其实是Dirichlet先验为文档d生成主题分布Θ,然后根据主题分布Θ产生主题z)的概率,主题z产生单词w的概率都不再是某两个确定的值,而是随机变量。

还是再次举下文档d具体产生主题z的例子。给定一篇文档d,现在有多个主题z1、z2、z3,它们的主题分布{ P(zi|d), i = 1,2,3 }可能是{0.4,0.5,0.1},也可能是{0.2,0.2,0.6},即这些主题被d选中的概率都不再认为是确定的值,可能是P(z1|d) = 0.4、P(z2|d) = 0.5、P(z3|d) = 0.1,也有可能是P(z1|d) = 0.2、P(z2|d) = 0.2、P(z3|d) = 0.6等等,而主题分布到底是哪个取值集合我们不确定(为什么?这就是贝叶斯派的核心思想,把未知参数当作是随机变量,不再认为是某一个确定的值),但其先验分布是dirichlet 分布,所以可以从无穷多个主题分布中按照dirichlet 先验随机抽取出某个主题分布出来。如下图所示(图截取自沈博PPT上):


换言之,LDA在pLSA的基础上给这两参数

加了两个先验分布的参数(贝叶斯化):一个主题分布的先验分布Dirichlet分布,和一个词语分布的先验分布Dirichlet分布 α 。综上,LDA真的只是pLSA的贝叶斯版本,文档生成后,两者都要根据文档去推断其主题分布和词语分布,只是用的参数推断方法不同,在pLSA中用极大似然估计的思想去推断两未知的固定参数,而LDA则把这两参数弄成随机变量,且加入dirichlet先验。


更多请参见:《通俗理解LDA主题模型》(链接:http://blog.csdn.net/v_july_v/article/details/41209515)。



题目来源:七月在线官网(https://www.julyedu.com/)——面试题库——面试大题——机器学习


分享一哈

和大家分享完机器学习相关知识

小七再和大家分享下喔

我们的

深度学习-第四期

课程将于

8.23日

明天

开课啦

还没报名的小伙伴们

抓紧时间喽

2人及2人以上组团

立减100元

如没有找到小伙伴组团,

可以添加客服

julyedukefu_02

帮忙组团享受优惠喔

点击下方“阅读原文”,立即报名



 更多资讯

 请戳一戳

往期推荐

深度学习难吗?如果你连这25个概念都不知道,当然难!

想做Python开发,这14种常用Python模块,你必须知道!

这10道题会做,年薪百万木问题

45万AI面经 |  面试offer拿不停,人称“offer收割机”

【干货合集】关于支持向量机(SVM)的原理,你了解多少?(万字长文 速收)

Kaggle CTO 力荐 | 从Kaggle历史数据看竞赛趋势

点击“阅读原文”,可在线报名

登录查看更多
0

相关内容

分类是数据挖掘的一种非常重要的方法。分类的概念是在已有数据的基础上学会一个分类函数或构造出一个分类模型(即我们通常所说的分类器(Classifier))。该函数或模型能够把数据库中的数据纪录映射到给定类别中的某一个,从而可以应用于数据预测。总之,分类器是数据挖掘中对样本进行分类的方法的统称,包含决策树、逻辑回归、朴素贝叶斯、神经网络等算法。
【经典书】机器学习高斯过程,266页pdf
专知会员服务
200+阅读 · 2020年5月2日
麻省理工学院MIT-ICLR2020《神经网络能推断出什么?》
专知会员服务
51+阅读 · 2020年2月19日
谷歌机器学习速成课程中文版pdf
专知会员服务
147+阅读 · 2019年12月4日
【斯坦福&Google】面向机器人的机器学习,63页PPT
专知会员服务
26+阅读 · 2019年11月19日
BAT机器学习面试题1000题(376~380题)
七月在线实验室
9+阅读 · 2018年8月27日
BAT机器学习面试题1000题(331~335题)
七月在线实验室
12+阅读 · 2018年8月13日
深度学习面试100题(第71-75题)
七月在线实验室
6+阅读 · 2018年8月2日
BAT机器学习面试题1000题(316~320题)
七月在线实验室
14+阅读 · 2018年1月18日
BAT题库 | 机器学习面试1000题系列(第196~200题)
七月在线实验室
17+阅读 · 2017年11月16日
BAT题库 | 机器学习面试1000题系列(第191~195题)
七月在线实验室
6+阅读 · 2017年11月15日
BAT机器学习面试1000题系列(第116~120题)
七月在线实验室
16+阅读 · 2017年10月24日
BAT机器学习面试1000题系列(第51~55题)
七月在线实验室
10+阅读 · 2017年10月8日
BAT机器学习面试1000题系列(第46~50题)
七月在线实验室
7+阅读 · 2017年10月7日
BAT机器学习面试1000题系列(第36~40题)
七月在线实验室
8+阅读 · 2017年10月3日
Reasoning on Knowledge Graphs with Debate Dynamics
Arxiv
14+阅读 · 2020年1月2日
HAQ: Hardware-Aware Automated Quantization
Arxiv
6+阅读 · 2018年11月21日
Arxiv
5+阅读 · 2018年6月12日
VIP会员
最新内容
人工智能在战场行动中的演进及伊朗案例
专知会员服务
6+阅读 · 4月18日
美AI公司Anthropic推出网络安全模型“Mythos”
专知会员服务
4+阅读 · 4月18日
【博士论文】面向城市环境的可解释计算机视觉
大语言模型的自改进机制:技术综述与未来展望
《第四代军事特种作战部队选拔与评估》
专知会员服务
3+阅读 · 4月18日
相关资讯
BAT机器学习面试题1000题(376~380题)
七月在线实验室
9+阅读 · 2018年8月27日
BAT机器学习面试题1000题(331~335题)
七月在线实验室
12+阅读 · 2018年8月13日
深度学习面试100题(第71-75题)
七月在线实验室
6+阅读 · 2018年8月2日
BAT机器学习面试题1000题(316~320题)
七月在线实验室
14+阅读 · 2018年1月18日
BAT题库 | 机器学习面试1000题系列(第196~200题)
七月在线实验室
17+阅读 · 2017年11月16日
BAT题库 | 机器学习面试1000题系列(第191~195题)
七月在线实验室
6+阅读 · 2017年11月15日
BAT机器学习面试1000题系列(第116~120题)
七月在线实验室
16+阅读 · 2017年10月24日
BAT机器学习面试1000题系列(第51~55题)
七月在线实验室
10+阅读 · 2017年10月8日
BAT机器学习面试1000题系列(第46~50题)
七月在线实验室
7+阅读 · 2017年10月7日
BAT机器学习面试1000题系列(第36~40题)
七月在线实验室
8+阅读 · 2017年10月3日
Top
微信扫码咨询专知VIP会员