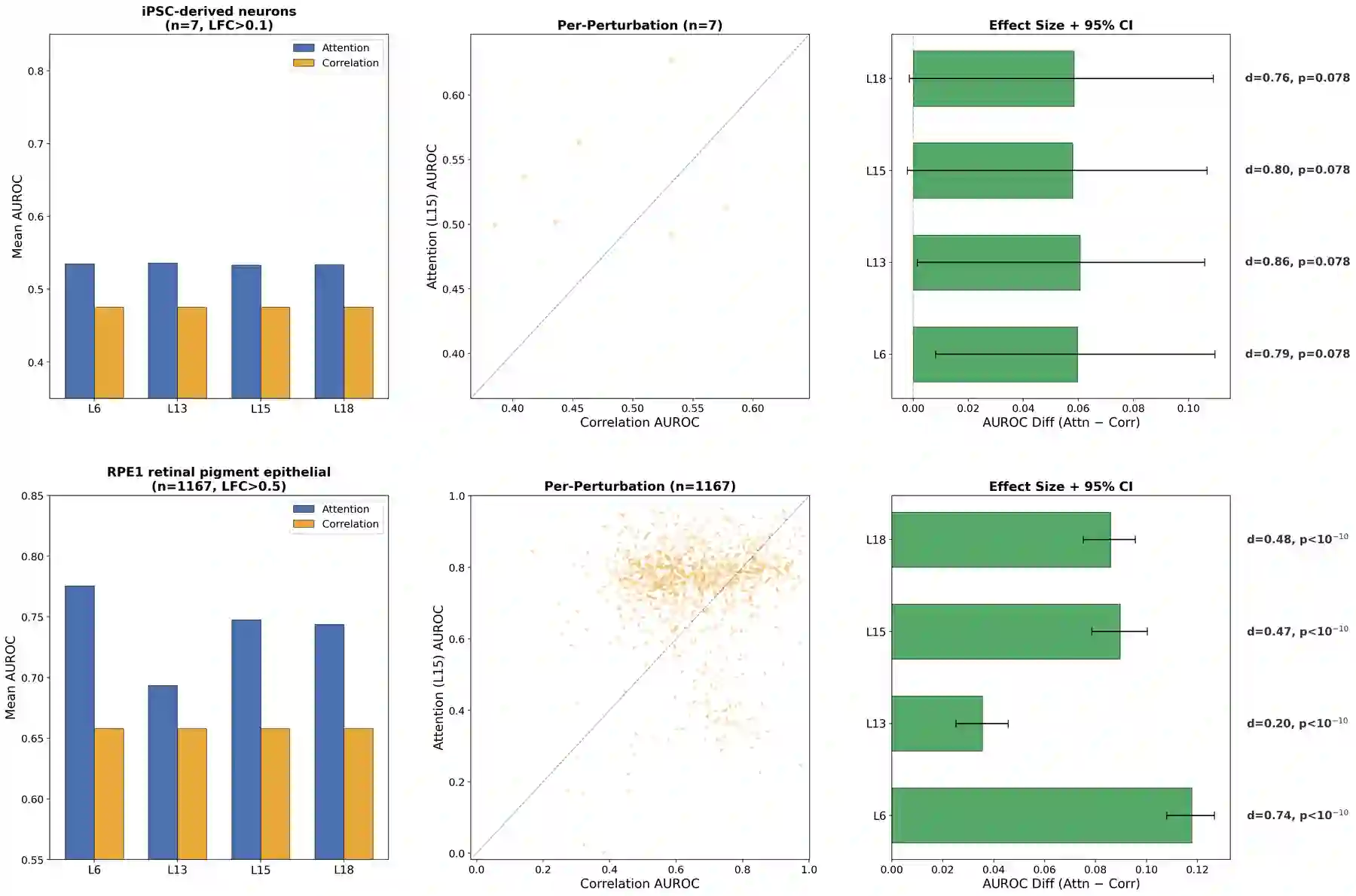
We present a systematic evaluation framework - thirty-seven analyses, 153 statistical tests, four cell types, two perturbation modalities - for assessing mechanistic interpretability in single-cell foundation models. Applying this framework to scGPT and Geneformer, we find that attention patterns encode structured biological information with layer-specific organisation - protein-protein interactions in early layers, transcriptional regulation in late layers - but this structure provides no incremental value for perturbation prediction: trivial gene-level baselines outperform both attention and correlation edges (AUROC 0.81-0.88 versus 0.70), pairwise edge scores add zero predictive contribution, and causal ablation of regulatory heads produces no degradation. These findings generalise from K562 to RPE1 cells; the attention-correlation relationship is context-dependent, but gene-level dominance is universal. Cell-State Stratified Interpretability (CSSI) addresses an attention-specific scaling failure, improving GRN recovery up to 1.85x. The framework establishes reusable quality-control standards for the field.


翻译:我们提出了一个系统性评估框架——包含37项分析、153项统计检验、四种细胞类型、两种扰动模式——用于评估单细胞基础模型的机制可解释性。将该框架应用于scGPT和Geneformer,我们发现注意力模式编码了具有层级特异性组织的结构化生物学信息:早期层捕获蛋白质-蛋白质相互作用,晚期层捕获转录调控,但这种结构并未为扰动预测提供增量价值:简单的基因水平基线模型在性能上超越注意力机制与相关性边(AUROC 0.81-0.88对比0.70),成对边评分未增加任何预测贡献,且调控头部的因果消融未导致性能下降。这些发现在从K562细胞到RPE1细胞中具有普适性;注意力-相关性关系具有情境依赖性,但基因水平的主导地位是普遍存在的。细胞状态分层可解释性(CSSI)方法解决了注意力机制特有的尺度失效问题,将基因调控网络重建性能提升达1.85倍。该框架为该领域建立了可复用的质量控制标准。

0
下载
关闭预览

相关内容

扩散模型中的注意力机制:综述
专知会员服务
24+阅读 · 2025年4月10日
多模态基础模型的机制可解释性综述
专知会员服务
43+阅读 · 2025年2月28日
视觉基础模型的可解释性:综述
专知会员服务
26+阅读 · 2025年1月24日
可解释图推荐系统
专知会员服务
25+阅读 · 2024年8月4日
专知会员服务
56+阅读 · 2020年11月17日
专知会员服务
48+阅读 · 2020年10月20日
注意力机制模型最新综述
专知会员服务
271+阅读 · 2019年10月20日
注意力机制可解释吗?这篇ACL 2019论文说……
机器之心
11+阅读 · 2019年6月16日
Attention!注意力机制模型最新综述
专知
65+阅读 · 2019年4月8日
专栏 | 深入理解图注意力机制
机器之心
25+阅读 · 2019年2月19日
注意力机制(Attention)最新综述论文及相关源码
人工智能学家
30+阅读 · 2018年11月17日
Attention模型方法综述 | 多篇经典论文解读
PaperWeekly
107+阅读 · 2018年6月11日
国家自然科学基金
0+阅读 · 2015年12月31日
国家自然科学基金
1+阅读 · 2015年12月31日
国家自然科学基金
3+阅读 · 2015年12月31日
国家自然科学基金
0+阅读 · 2015年12月31日
国家自然科学基金
0+阅读 · 2015年12月31日
国家自然科学基金
0+阅读 · 2015年12月31日
国家自然科学基金
0+阅读 · 2015年12月31日
国家自然科学基金
0+阅读 · 2015年12月31日
Arxiv
0+阅读 · 2月16日
VIP会员
最新内容
人工智能赋能无人机:俄乌战争(万字长文)
专知会员服务
6+阅读 · 4月23日
国外海军作战管理系统与作战训练系统
专知会员服务
3+阅读 · 4月23日
美军条令《海军陆战队规划流程(2026版)》
专知会员服务
10+阅读 · 4月23日
《压缩式分布式交互仿真标准》120页
专知会员服务
4+阅读 · 4月23日
《电子战数据交换模型研究报告》
专知会员服务
6+阅读 · 4月23日
《低数据领域军事目标检测模型研究》
专知会员服务
6+阅读 · 4月23日
【CMU博士论文】物理世界的视觉感知与深度理解
专知会员服务
10+阅读 · 4月22日
相关VIP内容
扩散模型中的注意力机制:综述
专知会员服务
24+阅读 · 2025年4月10日
多模态基础模型的机制可解释性综述
专知会员服务
43+阅读 · 2025年2月28日
视觉基础模型的可解释性:综述
专知会员服务
26+阅读 · 2025年1月24日
可解释图推荐系统
专知会员服务
25+阅读 · 2024年8月4日
专知会员服务
56+阅读 · 2020年11月17日
专知会员服务
48+阅读 · 2020年10月20日
注意力机制模型最新综述
专知会员服务
271+阅读 · 2019年10月20日
相关基金
国家自然科学基金
0+阅读 · 2015年12月31日
国家自然科学基金
1+阅读 · 2015年12月31日
国家自然科学基金
3+阅读 · 2015年12月31日
国家自然科学基金
0+阅读 · 2015年12月31日
国家自然科学基金
0+阅读 · 2015年12月31日
国家自然科学基金
0+阅读 · 2015年12月31日
国家自然科学基金
0+阅读 · 2015年12月31日
国家自然科学基金
0+阅读 · 2015年12月31日
Top
微信扫码咨询专知VIP会员