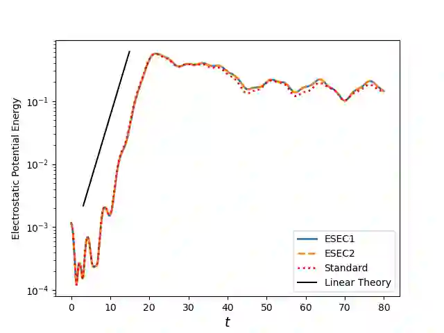
We present an explicit temporal discretization of particle-in-cell schemes for the Vlasov equation that results in exact energy conservation when combined with an appropriate spatial discretization. The scheme is inspired by a simple, second-order explicit scheme that conserves energy exactly in the Eulerian context. We show that direct translation to particle-in-cell does not result in strict conservation, but derive a simple correction based on an analytically solvable optimization problem that recovers conservation. While this optimization problem is not guaranteed to have a real solution for every particle, we provide a correction that makes imaginary values extremely rare and still admits $\mathcal{O}(10^{-12})$ fractional errors in energy for practical simulation parameters. We present the scheme in both electrostatic -- where we use the Amp\`{e}re formulation -- and electromagnetic contexts. With an electromagnetic field solve, the field update is most naturally linearly implicit, but the more computationally intensive particle update remains fully explicit. We also show how the scheme can be extended to use the fully explicit leapfrog and pseudospectral analytic time-domain (PSATD) field solvers. The scheme is tested on standard kinetic plasma problems, confirming its conservation properties.


翻译:本文提出了一种用于Vlasov方程的粒子网格方案显式时间离散化方法,当与适当的空间离散化结合时,该方法可实现精确的能量守恒。该方案受到欧拉框架下精确守恒能量的简单二阶显式格式的启发。我们证明直接迁移到粒子网格框架无法实现严格守恒,但通过基于解析可解优化问题的简单修正恢复了守恒性。虽然该优化问题不能保证对每个粒子都存在实数解,但我们提供的修正使得虚数值出现概率极低,且在实际模拟参数下仍能保持$\mathcal{O}(10^{-12})$量级的能量相对误差。我们在静电(采用安培表述)和电磁两种情境中阐述了该方案。在电磁场求解中,场更新本质上为线性隐式,但计算量更大的粒子更新仍保持完全显式。我们还展示了如何将该方案扩展至完全显式的蛙跳格式和伪谱解析时域(PSATD)场求解器。通过对标准等离子体动理学问题的测试,验证了该方案的守恒特性。

0
下载
关闭预览

相关内容

【ACL2020】多模态信息抽取,365页ppt
专知会员服务
151+阅读 · 2020年7月6日
专知会员服务
55+阅读 · 2020年3月16日
强化学习最新教程,17页pdf
专知会员服务
182+阅读 · 2019年10月11日
【SIGGRAPH2019】TensorFlow 2.0深度学习计算机图形学应用
专知会员服务
41+阅读 · 2019年10月9日
RL解决'BipedalWalkerHardcore-v2' (SOTA)
CreateAMind
31+阅读 · 2019年7月17日
强化学习的Unsupervised Meta-Learning
CreateAMind
18+阅读 · 2019年1月7日
Unsupervised Learning via Meta-Learning
CreateAMind
44+阅读 · 2019年1月3日
meta learning 17年:MAML SNAIL
CreateAMind
11+阅读 · 2019年1月2日
disentangled-representation-papers
CreateAMind
26+阅读 · 2018年9月12日
论文浅尝 | 利用 RNN 和 CNN 构建基于 FreeBase 的问答系统
开放知识图谱
11+阅读 · 2018年4月25日
IJCAI | Cascade Dynamics Modeling with Attention-based RNN
KingsGarden
13+阅读 · 2017年7月16日
Layer Normalization原理及其TensorFlow实现
深度学习每日摘要
32+阅读 · 2017年6月17日
国家自然科学基金
2+阅读 · 2017年12月31日
国家自然科学基金
2+阅读 · 2015年12月31日
国家自然科学基金
0+阅读 · 2015年12月31日
国家自然科学基金
0+阅读 · 2015年12月31日
国家自然科学基金
0+阅读 · 2015年12月31日
国家自然科学基金
0+阅读 · 2015年12月31日
国家自然科学基金
2+阅读 · 2015年12月31日
国家自然科学基金
0+阅读 · 2014年12月31日
国家自然科学基金
0+阅读 · 2014年12月31日
国家自然科学基金
0+阅读 · 2014年12月31日
Arxiv
69+阅读 · 2022年9月7日
Arxiv
18+阅读 · 2021年3月16日
Recent advances in deep learning theory
Arxiv
52+阅读 · 2020年12月20日
A survey on deep hashing for image retrieval
Arxiv
15+阅读 · 2020年6月10日
dynnode2vec: Scalable Dynamic Network Embedding
Arxiv
15+阅读 · 2018年12月6日
VIP会员
最新内容
乌克兰前线的五项创新
专知会员服务
1+阅读 · 今天6:14
 军事通信系统与设备的技术演进综述
专知会员服务
1+阅读 · 今天5:59
《北约标准:医疗评估手册》174页
专知会员服务
1+阅读 · 今天5:51
《提升生成模型的安全性与保障》博士论文
专知会员服务
0+阅读 · 今天5:47
美国当前高超音速导弹发展概述
专知会员服务
4+阅读 · 4月19日
无人机蜂群建模与仿真方法
专知会员服务
9+阅读 · 4月19日
澳大利亚发布《国防战略(2026年)》
专知会员服务
4+阅读 · 4月19日
全球高超音速武器最新发展趋势
专知会员服务
3+阅读 · 4月19日
相关资讯
RL解决'BipedalWalkerHardcore-v2' (SOTA)
CreateAMind
31+阅读 · 2019年7月17日
强化学习的Unsupervised Meta-Learning
CreateAMind
18+阅读 · 2019年1月7日
Unsupervised Learning via Meta-Learning
CreateAMind
44+阅读 · 2019年1月3日
meta learning 17年:MAML SNAIL
CreateAMind
11+阅读 · 2019年1月2日
disentangled-representation-papers
CreateAMind
26+阅读 · 2018年9月12日
论文浅尝 | 利用 RNN 和 CNN 构建基于 FreeBase 的问答系统
开放知识图谱
11+阅读 · 2018年4月25日
IJCAI | Cascade Dynamics Modeling with Attention-based RNN
KingsGarden
13+阅读 · 2017年7月16日
Layer Normalization原理及其TensorFlow实现
深度学习每日摘要
32+阅读 · 2017年6月17日
相关基金
国家自然科学基金
2+阅读 · 2017年12月31日
国家自然科学基金
2+阅读 · 2015年12月31日
国家自然科学基金
0+阅读 · 2015年12月31日
国家自然科学基金
0+阅读 · 2015年12月31日
国家自然科学基金
0+阅读 · 2015年12月31日
国家自然科学基金
0+阅读 · 2015年12月31日
国家自然科学基金
2+阅读 · 2015年12月31日
国家自然科学基金
0+阅读 · 2014年12月31日
国家自然科学基金
0+阅读 · 2014年12月31日
国家自然科学基金
0+阅读 · 2014年12月31日
Top
微信扫码咨询专知VIP会员