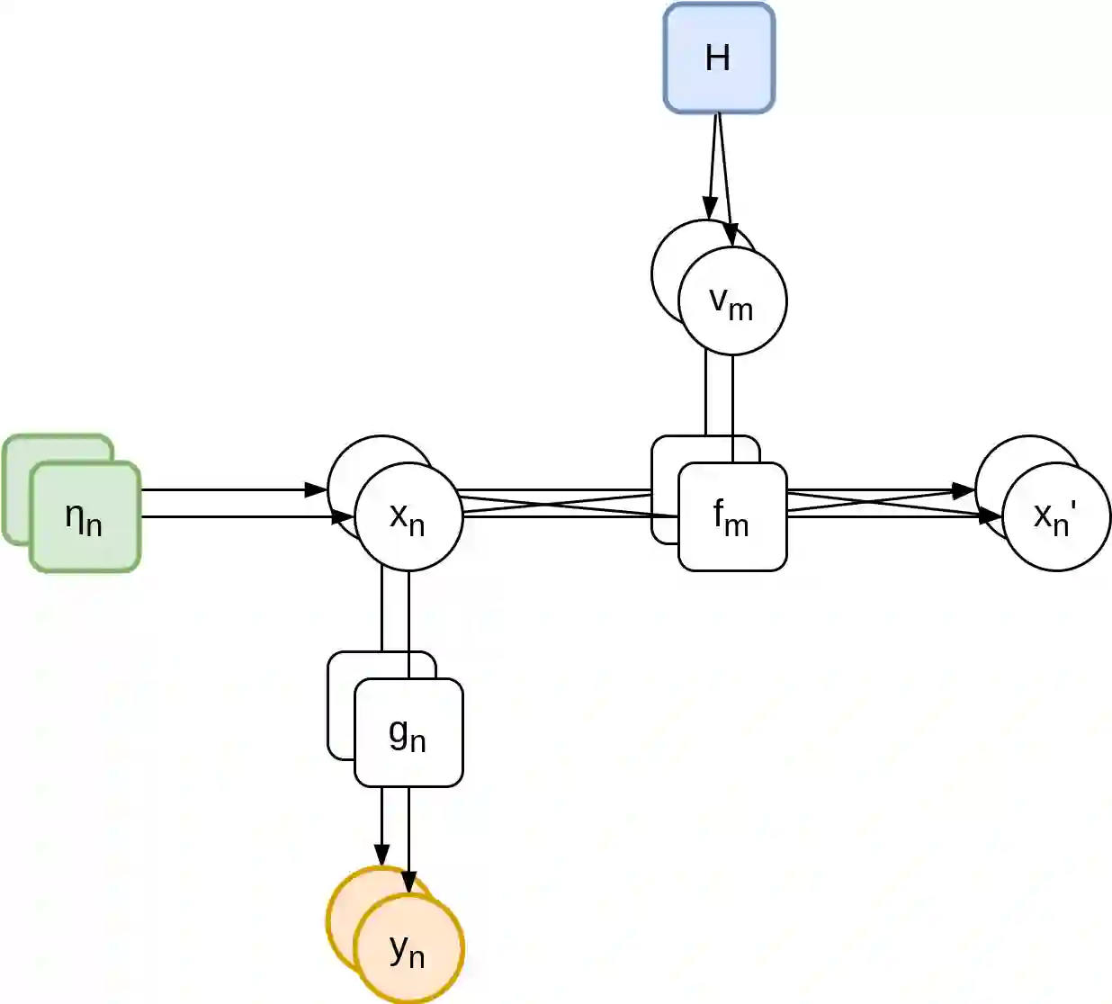
Determining an optimal plan to accomplish a goal is a hard problem in realistic scenarios, which often comprise dynamic and causal relationships between several entities. Although traditionally such problems have been tackled with optimal control and reinforcement learning, a recent biologically-motivated proposal casts planning and control as an inference process. Among these new approaches, one is particularly promising: active inference. This new paradigm assumes that action and perception are two complementary aspects of life whereby the role of the former is to fulfill the predictions inferred by the latter. In this study, we present an effective solution, based on active inference, to complex control tasks. The proposed architecture exploits hybrid (discrete and continuous) processing to construct a hierarchical and dynamic representation of the self and the environment, which is then used to produce a flexible plan consisting of subgoals at different temporal scales. We evaluate this deep hybrid model on a non-trivial task: reaching a moving object after having picked a moving tool. This study extends past work on planning as inference and advances an alternative direction to optimal control and reinforcement learning.


翻译:在现实场景中,确定实现目标的最优规划是一个难题,这些场景通常涉及多个实体之间的动态因果关系。尽管传统上此类问题通过最优控制和强化学习来解决,但近期一项受生物学启发的提案将规划与控制视为推理过程。在这些新方法中,主动推理尤为引人注目。这一新范式假设行动与感知是生命活动的两个互补方面,前者的作用是实现后者推断出的预测。本研究提出了一种基于主动推理的有效解决方案,用于处理复杂控制任务。所提出的架构利用混合(离散与连续)处理来构建自我与环境的分层动态表征,进而生成包含不同时间尺度子目标的灵活规划。我们在一个非平凡任务上评估了这一深度混合模型:在拾取移动工具后追踪移动目标。本研究扩展了以往将规划视为推理的工作,并为最优控制与强化学习提供了新的研究方向。

0
下载
关闭预览

相关内容

【ACL2020】多模态信息抽取,365页ppt
专知会员服务
151+阅读 · 2020年7月6日
专知会员服务
55+阅读 · 2020年3月16日
Keras François Chollet 《Deep Learning with Python 》, 386页pdf
专知会员服务
164+阅读 · 2019年10月12日
强化学习最新教程,17页pdf
专知会员服务
182+阅读 · 2019年10月11日
[综述]深度学习下的场景文本检测与识别
专知会员服务
78+阅读 · 2019年10月10日
【SIGGRAPH2019】TensorFlow 2.0深度学习计算机图形学应用
专知会员服务
41+阅读 · 2019年10月9日
灾难性遗忘问题新视角:迁移-干扰平衡
CreateAMind
17+阅读 · 2019年7月6日
meta learning 17年:MAML SNAIL
CreateAMind
11+阅读 · 2019年1月2日
A Technical Overview of AI & ML in 2018 & Trends for 2019
待字闺中
18+阅读 · 2018年12月24日
利用动态深度学习预测金融时间序列基于Python
量化投资与机器学习
18+阅读 · 2018年10月30日
disentangled-representation-papers
CreateAMind
26+阅读 · 2018年9月12日
STRCF for Visual Object Tracking
统计学习与视觉计算组
15+阅读 · 2018年5月29日
Layer Normalization原理及其TensorFlow实现
深度学习每日摘要
32+阅读 · 2017年6月17日
国家自然科学基金
2+阅读 · 2015年12月31日
国家自然科学基金
1+阅读 · 2015年12月31日
国家自然科学基金
2+阅读 · 2015年12月31日
国家自然科学基金
0+阅读 · 2015年12月31日
国家自然科学基金
0+阅读 · 2014年12月31日
国家自然科学基金
1+阅读 · 2014年12月31日
国家自然科学基金
0+阅读 · 2014年12月31日
国家自然科学基金
1+阅读 · 2014年12月31日
国家自然科学基金
5+阅读 · 2014年12月31日
国家自然科学基金
6+阅读 · 2014年12月31日
Arxiv
57+阅读 · 2022年1月5日
Arxiv
18+阅读 · 2021年3月16日
Recent advances in deep learning theory
Arxiv
52+阅读 · 2020年12月20日
Arxiv
11+阅读 · 2018年7月31日
VIP会员
最新内容
以色列军事技术对美国军力发展的持续性赋能
专知会员服务
4+阅读 · 今天8:46
《深度强化学习在兵棋推演中的应用》40页报告
专知会员服务
7+阅读 · 今天5:37
《多域作战面临复杂现实》
专知会员服务
6+阅读 · 今天5:35
《印度的多域作战:条令与能力发展》报告
专知会员服务
2+阅读 · 今天5:24
人工智能赋能无人机:俄乌战争(万字长文)
专知会员服务
7+阅读 · 4月23日
国外海军作战管理系统与作战训练系统
专知会员服务
3+阅读 · 4月23日
相关资讯
灾难性遗忘问题新视角:迁移-干扰平衡
CreateAMind
17+阅读 · 2019年7月6日
meta learning 17年:MAML SNAIL
CreateAMind
11+阅读 · 2019年1月2日
A Technical Overview of AI & ML in 2018 & Trends for 2019
待字闺中
18+阅读 · 2018年12月24日
利用动态深度学习预测金融时间序列基于Python
量化投资与机器学习
18+阅读 · 2018年10月30日
disentangled-representation-papers
CreateAMind
26+阅读 · 2018年9月12日
STRCF for Visual Object Tracking
统计学习与视觉计算组
15+阅读 · 2018年5月29日
Layer Normalization原理及其TensorFlow实现
深度学习每日摘要
32+阅读 · 2017年6月17日
相关基金
国家自然科学基金
2+阅读 · 2015年12月31日
国家自然科学基金
1+阅读 · 2015年12月31日
国家自然科学基金
2+阅读 · 2015年12月31日
国家自然科学基金
0+阅读 · 2015年12月31日
国家自然科学基金
0+阅读 · 2014年12月31日
国家自然科学基金
1+阅读 · 2014年12月31日
国家自然科学基金
0+阅读 · 2014年12月31日
国家自然科学基金
1+阅读 · 2014年12月31日
国家自然科学基金
5+阅读 · 2014年12月31日
国家自然科学基金
6+阅读 · 2014年12月31日
Top
微信扫码咨询专知VIP会员