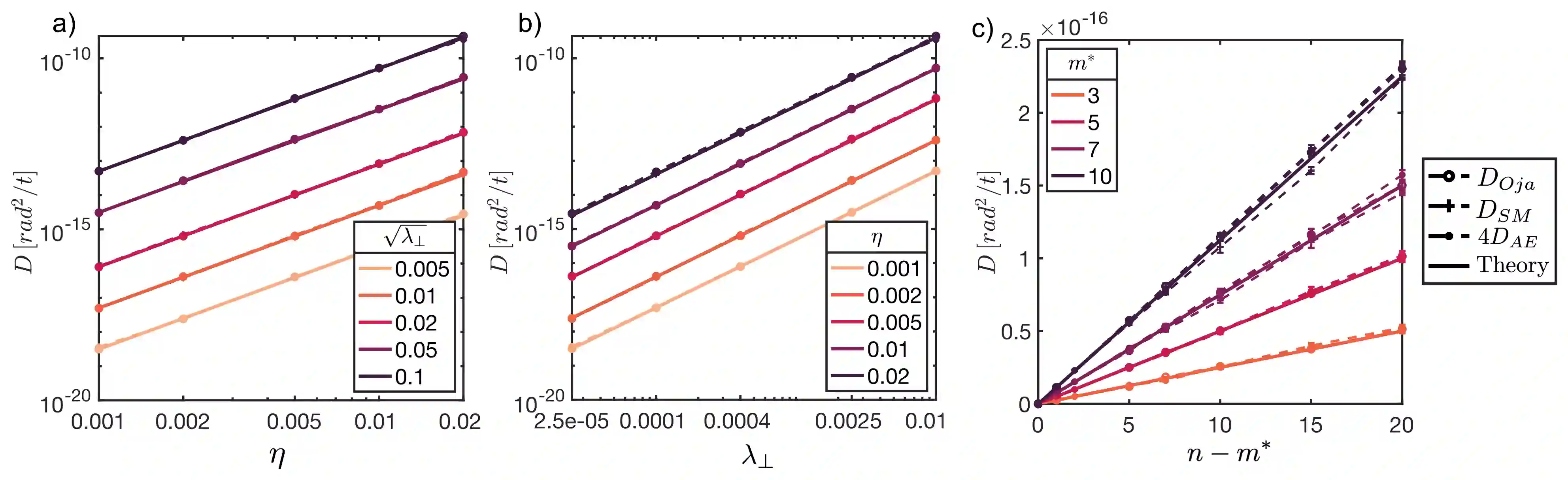
Biological and artificial learners are inherently exposed to a stream of data and experience throughout their lifetimes and must constantly adapt to, learn from, or selectively ignore the ongoing input. Recent findings reveal that, even when the performance remains stable, the underlying neural representations can change gradually over time, a phenomenon known as representational drift. Studying the different sources of data and noise that may contribute to drift is essential for understanding lifelong learning in neural systems. However, a systematic study of drift across architectures and learning rules, and the connection to task, are missing. Here, in an online learning setup, we characterize drift as a function of data distribution, and specifically show that the learning noise induced by task-irrelevant stimuli, which the agent learns to ignore in a given context, can create long-term drift in the representation of task-relevant stimuli. Using theory and simulations, we demonstrate this phenomenon both in Hebbian-based learning -- Oja's rule and Similarity Matching -- and in stochastic gradient descent applied to autoencoders and a supervised two-layer network. We consistently observe that the drift rate increases with the variance and the dimension of the data in the task-irrelevant subspace. We further show that this yields different qualitative predictions for the geometry and dimension-dependency of drift than those arising from Gaussian synaptic noise. Overall, our study links the structure of stimuli, task, and learning rule to representational drift and could pave the way for using drift as a signal for uncovering underlying computation in the brain.


翻译:生物与人工学习者在生命周期中持续暴露于数据流与经验之中,必须不断适应、学习或选择性地忽略持续输入。近期研究发现,即使行为表现保持稳定,底层神经表征仍可能随时间逐渐变化,这一现象被称为表征漂移。研究可能导致漂移的不同数据源与噪声来源,对于理解神经系统的终身学习至关重要。然而,目前仍缺乏跨架构与学习规则的漂移系统性研究,及其与任务关联性的探讨。本文在在线学习框架下,将漂移表征为数据分布的函数,并特别证明:智能体在特定情境中学会忽略的任务无关刺激所诱导的学习噪声,能够在任务相关刺激的表征中产生长期漂移。通过理论与仿真,我们在基于赫布学习的Oja规则与相似性匹配、以及应用于自编码器和监督式双层网络的随机梯度下降中均验证了这一现象。我们一致观察到,漂移速率随任务无关子空间中数据的方差与维度增加而上升。进一步研究表明,与高斯突触噪声产生的漂移相比,此机制在漂移的几何特性与维度依赖性上会产生不同的定性预测。总体而言,本研究将刺激结构、任务与学习规则与表征漂移相关联,可能为利用漂移作为揭示大脑底层计算过程的信号开辟新途径。

0
下载
关闭预览

相关内容

Linux导论,Introduction to Linux,96页ppt
专知会员服务
82+阅读 · 2020年7月26日
【ACL2020】多模态信息抽取,365页ppt
专知会员服务
151+阅读 · 2020年7月6日
FlowQA: Grasping Flow in History for Conversational Machine Comprehension
专知会员服务
34+阅读 · 2019年10月18日
Keras François Chollet 《Deep Learning with Python 》, 386页pdf
专知会员服务
164+阅读 · 2019年10月12日
强化学习最新教程,17页pdf
专知会员服务
182+阅读 · 2019年10月11日
【SIGGRAPH2019】TensorFlow 2.0深度学习计算机图形学应用
专知会员服务
41+阅读 · 2019年10月9日
学习自然语言处理路线图
专知会员服务
140+阅读 · 2019年9月24日
知识图谱最新研究综述
深度学习自然语言处理
45+阅读 · 2020年6月14日
Transferring Knowledge across Learning Processes
CreateAMind
29+阅读 · 2019年5月18日
meta learning 17年:MAML SNAIL
CreateAMind
11+阅读 · 2019年1月2日
A Technical Overview of AI & ML in 2018 & Trends for 2019
待字闺中
18+阅读 · 2018年12月24日
disentangled-representation-papers
CreateAMind
26+阅读 · 2018年9月12日
Focal Loss for Dense Object Detection
统计学习与视觉计算组
12+阅读 · 2018年3月15日
IJCAI | Cascade Dynamics Modeling with Attention-based RNN
KingsGarden
13+阅读 · 2017年7月16日
国家自然科学基金
13+阅读 · 2017年12月31日
国家自然科学基金
2+阅读 · 2015年12月31日
国家自然科学基金
2+阅读 · 2015年12月31日
国家自然科学基金
2+阅读 · 2015年12月31日
国家自然科学基金
3+阅读 · 2015年12月31日
国家自然科学基金
0+阅读 · 2014年12月31日
国家自然科学基金
0+阅读 · 2014年12月31日
国家自然科学基金
2+阅读 · 2014年12月31日
国家自然科学基金
6+阅读 · 2014年12月31日
Arxiv
69+阅读 · 2022年9月7日
Recent advances in deep learning theory
Arxiv
52+阅读 · 2020年12月20日
VIP会员
最新内容
乌克兰前线的五项创新
专知会员服务
1+阅读 · 今天6:14
 军事通信系统与设备的技术演进综述
专知会员服务
1+阅读 · 今天5:59
《北约标准:医疗评估手册》174页
专知会员服务
1+阅读 · 今天5:51
《提升生成模型的安全性与保障》博士论文
专知会员服务
0+阅读 · 今天5:47
美国当前高超音速导弹发展概述
专知会员服务
4+阅读 · 4月19日
无人机蜂群建模与仿真方法
专知会员服务
9+阅读 · 4月19日
澳大利亚发布《国防战略(2026年)》
专知会员服务
4+阅读 · 4月19日
全球高超音速武器最新发展趋势
专知会员服务
3+阅读 · 4月19日
相关VIP内容
Linux导论,Introduction to Linux,96页ppt
专知会员服务
82+阅读 · 2020年7月26日
【ACL2020】多模态信息抽取,365页ppt
专知会员服务
151+阅读 · 2020年7月6日
FlowQA: Grasping Flow in History for Conversational Machine Comprehension
专知会员服务
34+阅读 · 2019年10月18日
Keras François Chollet 《Deep Learning with Python 》, 386页pdf
专知会员服务
164+阅读 · 2019年10月12日
强化学习最新教程,17页pdf
专知会员服务
182+阅读 · 2019年10月11日
【SIGGRAPH2019】TensorFlow 2.0深度学习计算机图形学应用
专知会员服务
41+阅读 · 2019年10月9日
学习自然语言处理路线图
专知会员服务
140+阅读 · 2019年9月24日
相关资讯
知识图谱最新研究综述
深度学习自然语言处理
45+阅读 · 2020年6月14日
Transferring Knowledge across Learning Processes
CreateAMind
29+阅读 · 2019年5月18日
meta learning 17年:MAML SNAIL
CreateAMind
11+阅读 · 2019年1月2日
A Technical Overview of AI & ML in 2018 & Trends for 2019
待字闺中
18+阅读 · 2018年12月24日
disentangled-representation-papers
CreateAMind
26+阅读 · 2018年9月12日
Focal Loss for Dense Object Detection
统计学习与视觉计算组
12+阅读 · 2018年3月15日
IJCAI | Cascade Dynamics Modeling with Attention-based RNN
KingsGarden
13+阅读 · 2017年7月16日
相关基金
国家自然科学基金
13+阅读 · 2017年12月31日
国家自然科学基金
2+阅读 · 2015年12月31日
国家自然科学基金
2+阅读 · 2015年12月31日
国家自然科学基金
2+阅读 · 2015年12月31日
国家自然科学基金
3+阅读 · 2015年12月31日
国家自然科学基金
0+阅读 · 2014年12月31日
国家自然科学基金
0+阅读 · 2014年12月31日
国家自然科学基金
2+阅读 · 2014年12月31日
国家自然科学基金
6+阅读 · 2014年12月31日
Top
微信扫码咨询专知VIP会员