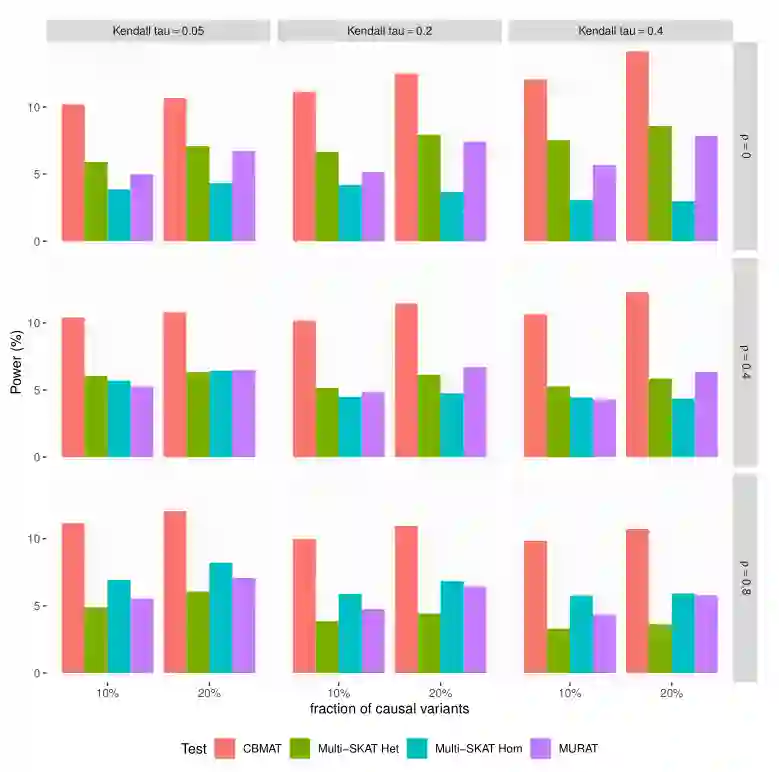
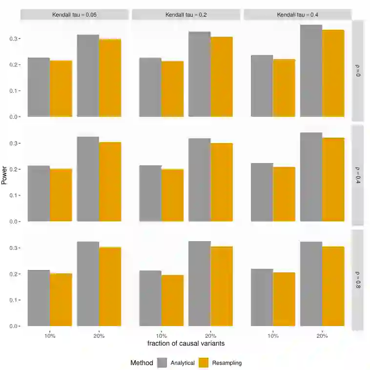
In genome wide association studies (GWAS), researchers are often dealing with non-normally distributed traits or a mixture of discrete-continuous traits. However, most of the current region-based methods rely on multivariate linear mixed models (mvLMMs) and assume a multivariate normal distribution for the phenotypes of interest. Hence, these methods are not applicable to disease or non-normally distributed traits. Therefore, there is a need to develop unified and flexible methods to study association between a set of (possibly rare) genetic variants and non-normal multivariate phenotypes. Copulas are multivariate distribution functions with uniform margins on the $[0, 1]$ interval and they provide suitable models to deal with non-normality of errors in multivariate association studies. We propose a novel unified and flexible Copula-Based Multivariate Association Test (CBMAT) for discovering association between a genetic region and a bivariate continuous or mixed phenotype. We also derive a data-driven analytic p-value procedure of the proposed region-based score-type test. Through simulation studies, we demonstrate that CBMAT has well controlled type I error rates and higher power to detect associations compared with other existing methods, for discrete and non-normally distributed traits. At last, we apply CBMAT to detect the association between two genes located on chromosome 11 and several lipid levels measured on 1,477 subjects from the ASLPAC study.


翻译:在基因组广泛联系研究(GWAS)中,研究人员往往处理非正常分布的遗传变异或混合的多变性特征,但是,目前基于区域的方法大多依赖多变线性混合模型(mvLMMs),对感兴趣的同系物类型采取多变的正常分配办法,因此,这些方法不适用于疾病或非正常分布的特性,因此,有必要制定统一和灵活的方法,研究一组(可能很少见的)遗传变异体和非常态多变异体型(多变异体型)和非常态多变性多变性苯型。 Copulas是多种变异性分布功能,在$[10,1]的间隔上具有统一的差值,它们为处理多种变异性联系研究中的错误的不常态性正常分布提供了适当的模式。因此,我们建议采用新的统一和灵活的CUBAT-多变性协会测试(CBAT),以发现基因区域和双变异性连续或混合的同系型型。我们还从拟议的C-AAT型不同测算的测算和直系物型型的内测算方法,以现有的C-C-SDral-ral-ration-ration-C型测算法测试了现有不同等级等级等级等级等级的两种测算方法。

0
下载
关闭预览

相关内容

让 iOS 8 和 OS X Yosemite 无缝切换的一个新特性。 > Apple products have always been designed to work together beautifully. But now they may really surprise you. With iOS 8 and OS X Yosemite, you’ll be able to do more wonderful things than ever before.

Source: Apple - iOS 8
专知会员服务
52+阅读 · 2020年12月14日
【干货书】机器学习速查手册,135页pdf
专知会员服务
127+阅读 · 2020年11月20日
因果图,Causal Graphs,52页ppt
专知会员服务
253+阅读 · 2020年4月19日
强化学习最新教程,17页pdf
专知会员服务
182+阅读 · 2019年10月11日
已删除
生物探索
3+阅读 · 2018年2月10日
Arxiv
0+阅读 · 2021年11月22日
Arxiv
0+阅读 · 2021年11月21日
Arxiv
0+阅读 · 2021年11月19日
Arxiv
0+阅读 · 2021年11月18日
VIP会员
最新内容
非对称优势:美海军开发低成本反无人机技术
专知会员服务
4+阅读 · 今天4:39
《美战争部小企业创新研究(SBIR)计划》
专知会员服务
5+阅读 · 今天2:48
《军事模拟:将军事条令与目标融入AI智能体》
专知会员服务
8+阅读 · 今天2:43
【NTU博士论文】3D人体动作生成
专知会员服务
6+阅读 · 4月24日
以色列军事技术对美国军力发展的持续性赋能
专知会员服务
8+阅读 · 4月24日
《深度强化学习在兵棋推演中的应用》40页报告
专知会员服务
13+阅读 · 4月24日
《多域作战面临复杂现实》
专知会员服务
9+阅读 · 4月24日
《印度的多域作战:条令与能力发展》报告
专知会员服务
4+阅读 · 4月24日
相关资讯
已删除
生物探索
3+阅读 · 2018年2月10日
Top
微信扫码咨询专知VIP会员