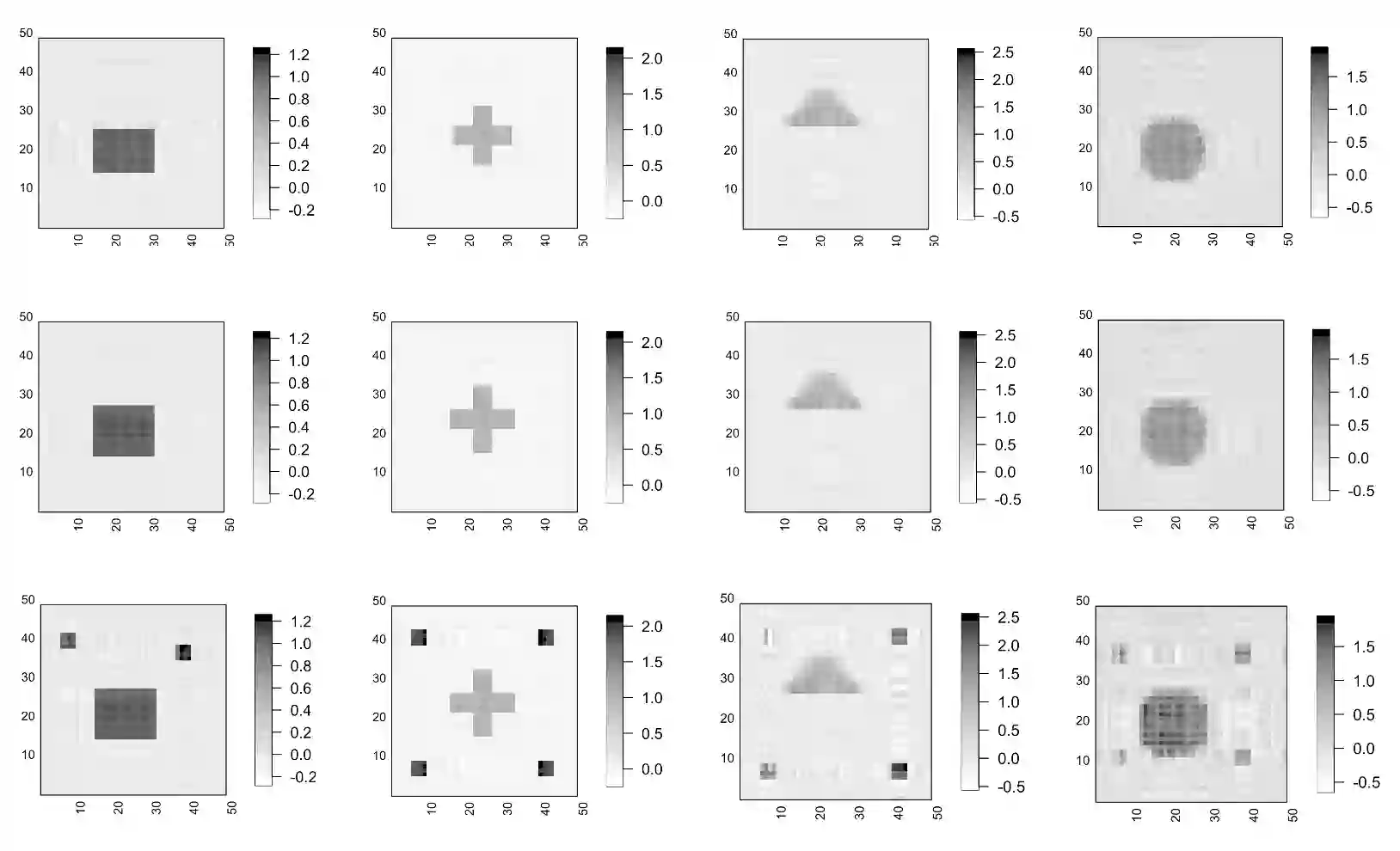
As a general and robust alternative to traditional mean regression models, quantile regression avoids the assumption of normally distributed errors, making it a versatile choice when modeling outcomes such as cognitive scores that typically have skewed distributions. Motivated by an application to Alzheimer's disease data where the aim is to explore how brain-behavior associations change over time, we propose a novel Bayesian tensor quantile regression for high-dimensional longitudinal imaging data. The proposed approach distinguishes between effects that are consistent across visits and patterns unique to each visit, contributing to the overall longitudinal trajectory. A low-rank decomposition is employed on the tensor coefficients which reduces dimensionality and preserves spatial configurations of the imaging voxels. We incorporate multiway shrinkage priors to model the visit-invariant tensor coefficients and variable selection priors on the tensor margins of the visit-specific effects. For posterior inference, we develop a computationally efficient Markov chain Monte Carlo sampling algorithm. Simulation studies reveal significant improvements in parameter estimation, feature selection, and prediction performance when compared with existing approaches. In the analysis of the Alzheimer's disease data, the flexibility of our modeling approach brings new insights as it provides a fuller picture of the relationship between the imaging voxels and the quantile distributions of the cognitive scores.


翻译:作为传统均值回归模型的通用且稳健的替代方案,分位数回归避免了误差正态分布的假设,使其成为建模认知分数等通常具有偏态分布结果时的通用选择。受阿尔茨海默病数据应用的启发——其目标是探索脑-行为关联如何随时间变化,我们针对高维纵向影像数据提出了一种新颖的贝叶斯张量分位数回归方法。所提出的方法能够区分跨访视一致的效应与每次访视特有的模式,这些共同构成了整体的纵向轨迹。通过对张量系数采用低秩分解来降低维度并保持影像体素的空间结构。我们引入多向收缩先验对访视不变张量系数进行建模,并在访视特异性效应的张量边缘上采用变量选择先验。对于后验推断,我们开发了一种计算高效的马尔可夫链蒙特卡洛抽样算法。仿真研究表明,与现有方法相比,本方法在参数估计、特征选择和预测性能方面均有显著提升。在阿尔茨海默病数据分析中,我们建模方法的灵活性提供了影像体素与认知分数分位数分布之间更完整的关系图景,从而带来了新的见解。

0
下载
关闭预览

相关内容

一文读懂机器学习中的贝叶斯统计学
数据分析
26+阅读 · 2019年5月8日
数据分析师应该知道的16种回归方法:负二项回归
数萃大数据
74+阅读 · 2018年9月16日
数据分析师应该知道的16种回归方法:泊松回归
数萃大数据
35+阅读 · 2018年9月13日
数据分析师应该知道的16种回归方法:定序回归
数萃大数据
16+阅读 · 2018年9月9日
数据分析师应该知道的16种回归技术:分位数回归
数萃大数据
29+阅读 · 2018年8月8日
贝叶斯机器学习前沿进展
机器学习研究会
21+阅读 · 2018年1月21日
一文读懂贝叶斯分类算法(附学习资源)
大数据文摘
12+阅读 · 2017年12月14日
国家自然科学基金
16+阅读 · 2017年12月31日
国家自然科学基金
0+阅读 · 2015年12月31日
国家自然科学基金
3+阅读 · 2015年12月31日
国家自然科学基金
0+阅读 · 2015年12月31日
国家自然科学基金
4+阅读 · 2015年12月31日
国家自然科学基金
0+阅读 · 2014年12月31日
国家自然科学基金
4+阅读 · 2014年12月31日
国家自然科学基金
2+阅读 · 2014年12月31日
VIP会员
最新内容
美国当前高超音速导弹发展概述
专知会员服务
1+阅读 · 今天15:03
《高超音速武器:一项再度兴起的技术》120页slides
无人机蜂群建模与仿真方法
专知会员服务
1+阅读 · 今天14:08
澳大利亚发布《国防战略(2026年)》
专知会员服务
0+阅读 · 今天13:42
【CMU博士论文】迈向基于基础先验的 4D 感知研究
专知会员服务
0+阅读 · 今天13:46
全球高超音速武器最新发展趋势
专知会员服务
1+阅读 · 今天13:17
相关VIP内容
相关资讯
一文读懂机器学习中的贝叶斯统计学
数据分析
26+阅读 · 2019年5月8日
数据分析师应该知道的16种回归方法:负二项回归
数萃大数据
74+阅读 · 2018年9月16日
数据分析师应该知道的16种回归方法:泊松回归
数萃大数据
35+阅读 · 2018年9月13日
数据分析师应该知道的16种回归方法:定序回归
数萃大数据
16+阅读 · 2018年9月9日
数据分析师应该知道的16种回归技术:分位数回归
数萃大数据
29+阅读 · 2018年8月8日
贝叶斯机器学习前沿进展
机器学习研究会
21+阅读 · 2018年1月21日
一文读懂贝叶斯分类算法(附学习资源)
大数据文摘
12+阅读 · 2017年12月14日
相关基金
国家自然科学基金
16+阅读 · 2017年12月31日
国家自然科学基金
0+阅读 · 2015年12月31日
国家自然科学基金
3+阅读 · 2015年12月31日
国家自然科学基金
0+阅读 · 2015年12月31日
国家自然科学基金
4+阅读 · 2015年12月31日
国家自然科学基金
0+阅读 · 2014年12月31日
国家自然科学基金
4+阅读 · 2014年12月31日
国家自然科学基金
2+阅读 · 2014年12月31日
Top
微信扫码咨询专知VIP会员