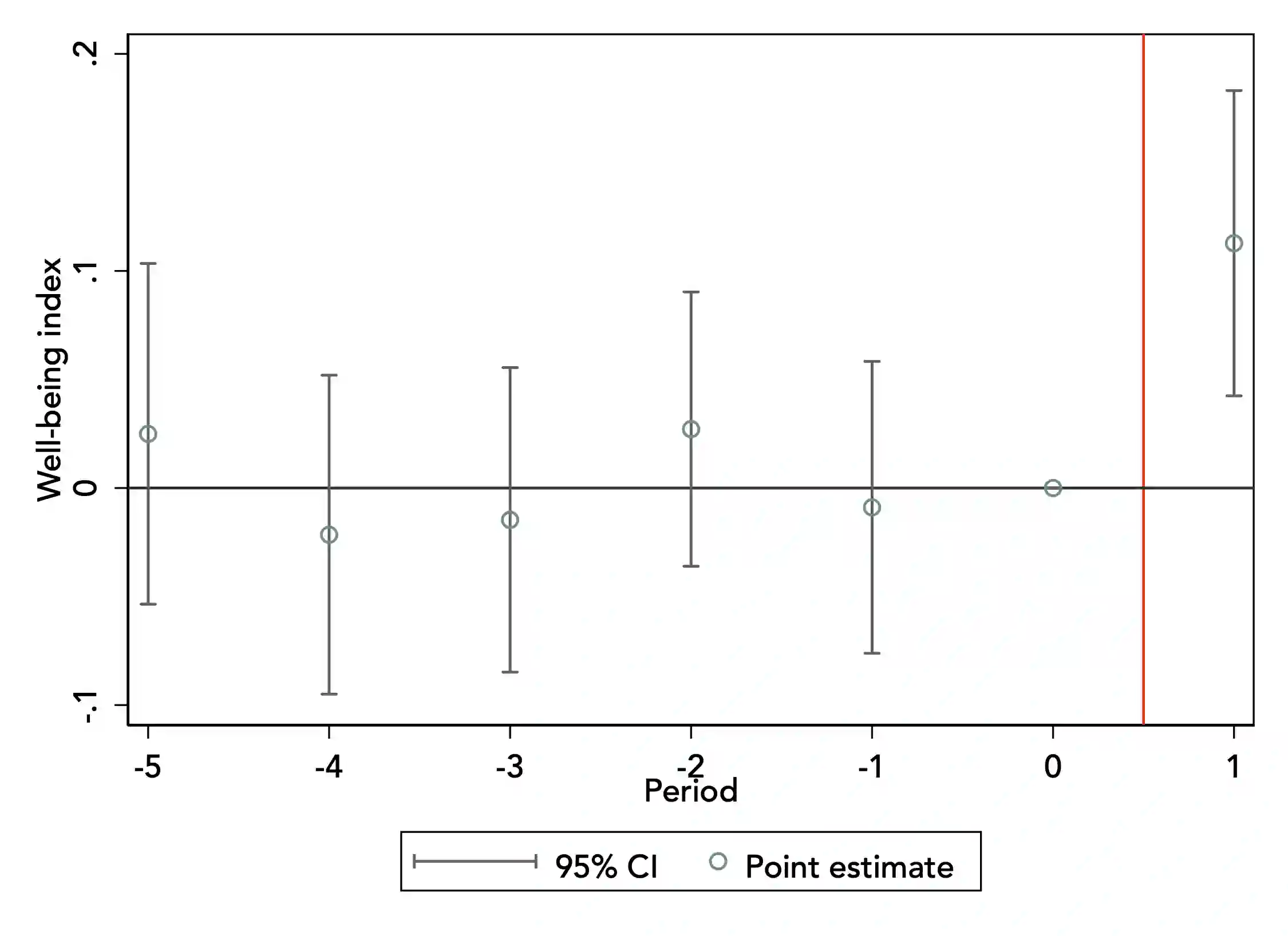
We quantify the impact of COVID-19 vaccination on psychological well-being using information from a large-scale panel survey representative of the UK population. Exploiting exogenous variation in the timing of vaccinations, we find that vaccination increases psychological well-being (GHQ-12) by 0.12 standard deviation, compensating for around one-half of the overall decrease caused by the pandemic. This effect persists for at least two months, and it is associated with a decrease in the perceived likelihood of contracting COVID-19 and higher engagement in social activities. The improvement is 1.5 times larger for mentally distressed individuals, supporting the prioritization of this group in vaccination roll-outs.


翻译:利用联合王国人口大规模小组调查代表提供的资料,我们量化了COVID-19疫苗对心理健康的影响。利用疫苗接种时间的外在差异,我们发现疫苗接种增加了心理健康(GHQ-12),标准偏差为0.12(GHQ-12),弥补了该流行病造成的总体减少的一半左右。这一影响至少持续了两个月,这与人们所察觉的签订COVID-19的可能性降低以及更多参与社会活动有关。对于精神受困者而言,改进幅度是1.5倍,支持在疫苗接种推广中优先考虑这一群体。

0
下载
关闭预览

相关内容

专知会员服务
52+阅读 · 2021年8月8日
机器学习组合优化
专知会员服务
111+阅读 · 2021年2月16日
专知会员服务
124+阅读 · 2020年9月8日
Linux导论,Introduction to Linux,96页ppt
专知会员服务
82+阅读 · 2020年7月26日
开源书:PyTorch深度学习起步
专知会员服务
51+阅读 · 2019年10月11日
Hierarchically Structured Meta-learning
CreateAMind
27+阅读 · 2019年5月22日
人工智能 | SCI期刊专刊信息3条
Call4Papers
5+阅读 · 2019年1月10日
Unsupervised Learning via Meta-Learning
CreateAMind
44+阅读 · 2019年1月3日
Disentangled的假设的探讨
CreateAMind
9+阅读 · 2018年12月10日
CCF B类期刊IPM专刊截稿信息1条
Call4Papers
3+阅读 · 2018年10月11日
disentangled-representation-papers
CreateAMind
26+阅读 · 2018年9月12日
Hierarchical Disentangled Representations
CreateAMind
4+阅读 · 2018年4月15日
人工智能 | 国际会议截稿信息9条
Call4Papers
4+阅读 · 2018年3月13日
计算机类 | 期刊专刊截稿信息9条
Call4Papers
4+阅读 · 2018年1月26日
【今日新增】IEEE Trans.专刊截稿信息8条
Call4Papers
7+阅读 · 2017年6月29日
Arxiv
9+阅读 · 2021年10月5日
Arxiv
12+阅读 · 2021年8月19日
Arxiv
30+阅读 · 2021年7月7日
Arxiv
8+阅读 · 2021年5月20日
Arxiv
15+阅读 · 2020年12月17日
The StarCraft Multi-Agent Challenge
Arxiv
3+阅读 · 2019年2月11日
VIP会员
最新内容
人工智能赋能无人机:俄乌战争(万字长文)
专知会员服务
4+阅读 · 今天6:56
国外海军作战管理系统与作战训练系统
专知会员服务
2+阅读 · 今天4:16
美军条令《海军陆战队规划流程(2026版)》
专知会员服务
9+阅读 · 今天3:36
《压缩式分布式交互仿真标准》120页
专知会员服务
4+阅读 · 今天3:21
《电子战数据交换模型研究报告》
专知会员服务
6+阅读 · 今天3:13
《基于Transformer的异常舰船导航识别与跟踪》80页
《低数据领域军事目标检测模型研究》
专知会员服务
6+阅读 · 今天2:37
【CMU博士论文】物理世界的视觉感知与深度理解
专知会员服务
10+阅读 · 4月22日
伊朗战争停火期间美军关键弹药状况分析
专知会员服务
8+阅读 · 4月22日
电子战革命:塑造战场的十年突破(2015–2025)
相关资讯
Hierarchically Structured Meta-learning
CreateAMind
27+阅读 · 2019年5月22日
人工智能 | SCI期刊专刊信息3条
Call4Papers
5+阅读 · 2019年1月10日
Unsupervised Learning via Meta-Learning
CreateAMind
44+阅读 · 2019年1月3日
Disentangled的假设的探讨
CreateAMind
9+阅读 · 2018年12月10日
CCF B类期刊IPM专刊截稿信息1条
Call4Papers
3+阅读 · 2018年10月11日
disentangled-representation-papers
CreateAMind
26+阅读 · 2018年9月12日
Hierarchical Disentangled Representations
CreateAMind
4+阅读 · 2018年4月15日
人工智能 | 国际会议截稿信息9条
Call4Papers
4+阅读 · 2018年3月13日
计算机类 | 期刊专刊截稿信息9条
Call4Papers
4+阅读 · 2018年1月26日
【今日新增】IEEE Trans.专刊截稿信息8条
Call4Papers
7+阅读 · 2017年6月29日
相关论文
Arxiv
9+阅读 · 2021年10月5日
Arxiv
12+阅读 · 2021年8月19日
Arxiv
30+阅读 · 2021年7月7日
Arxiv
8+阅读 · 2021年5月20日
Arxiv
15+阅读 · 2020年12月17日
The StarCraft Multi-Agent Challenge
Arxiv
3+阅读 · 2019年2月11日
Top
微信扫码咨询专知VIP会员