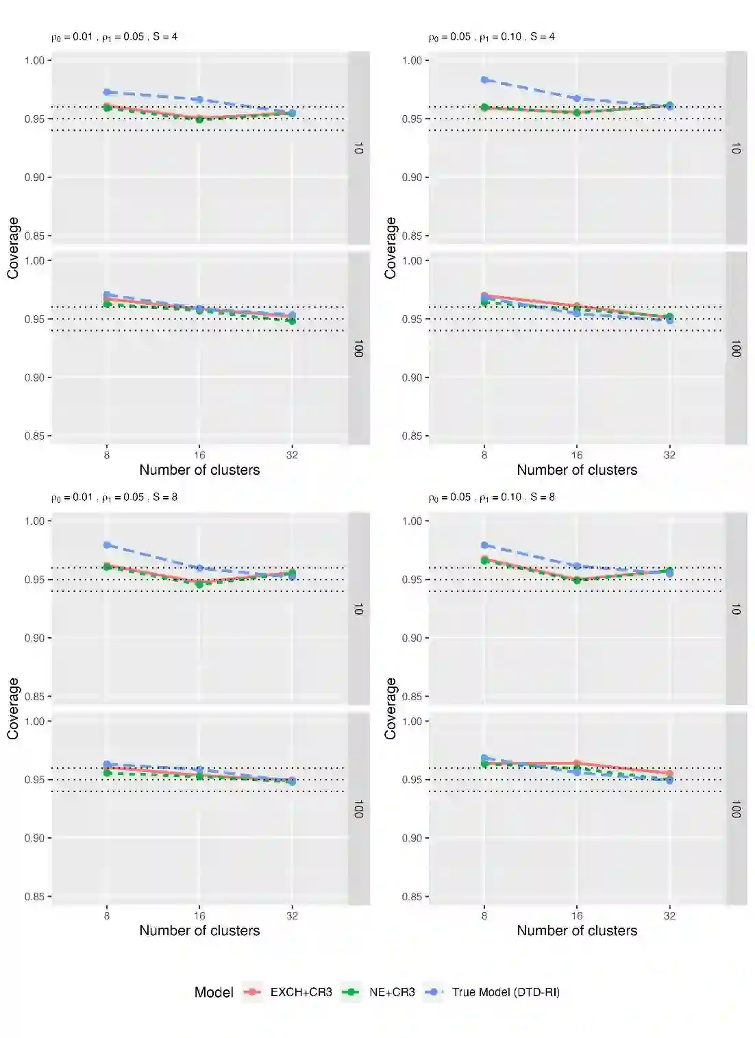
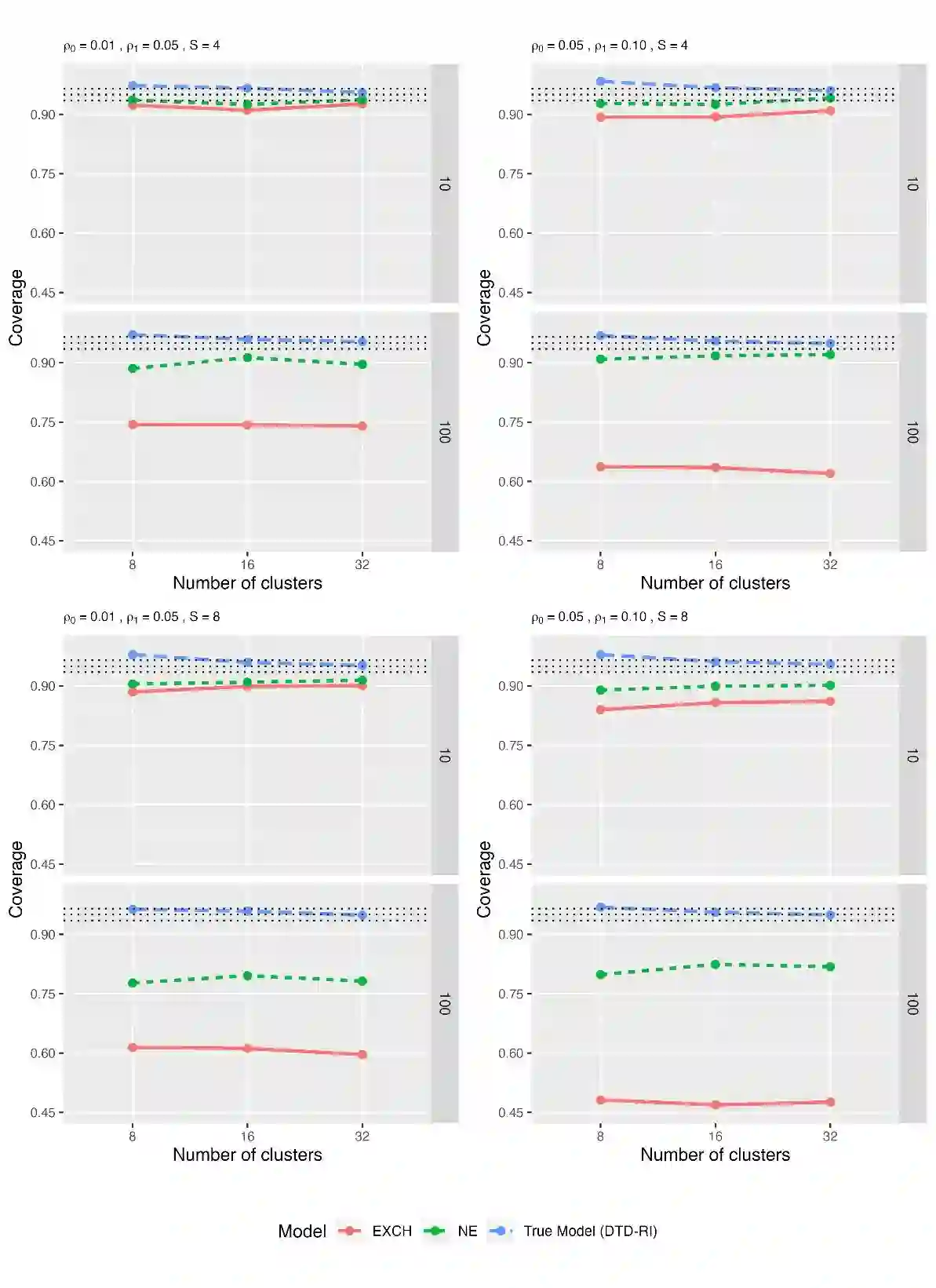
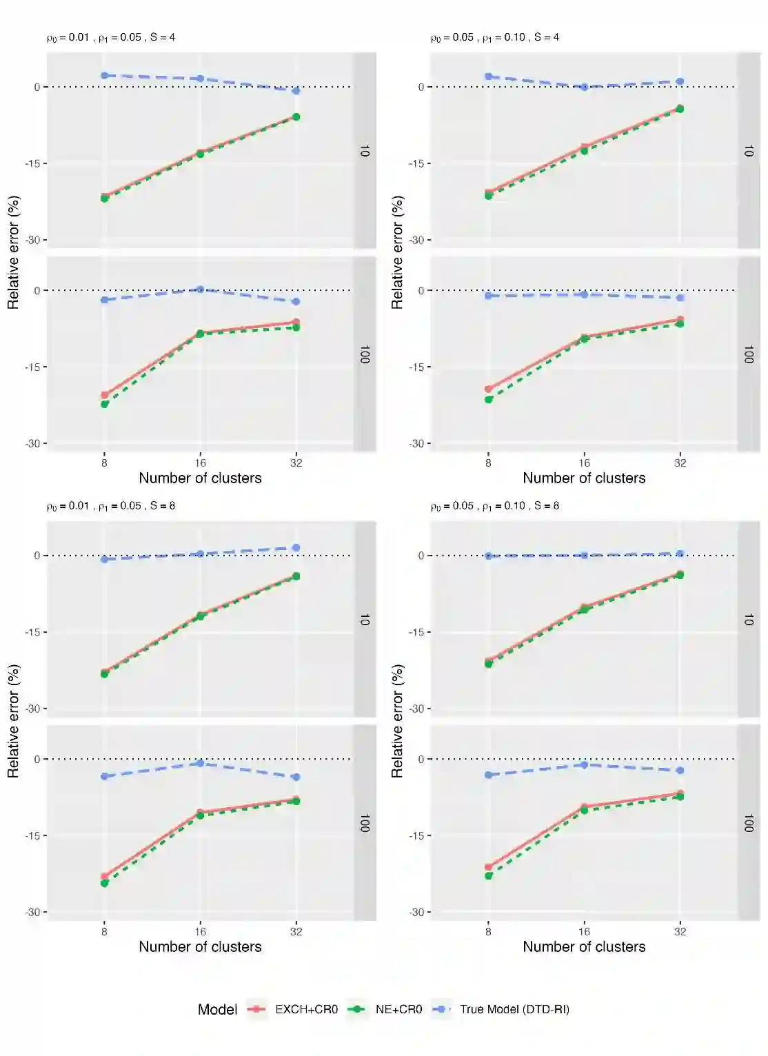
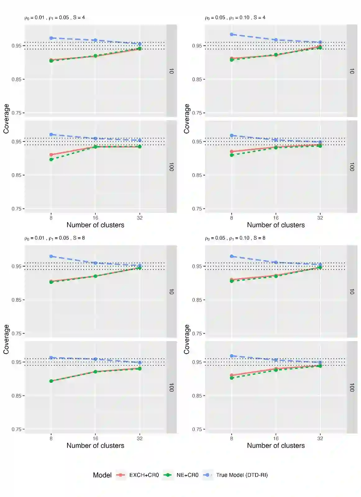
Linear mixed models are commonly used in analyzing stepped-wedge cluster randomized trials (SW-CRTs). A key consideration for analyzing a SW-CRT is accounting for the potentially complex correlation structure, which can be achieved by specifying a random effects structure. Common random effects structures for a SW-CRT include random intercept, random cluster-by-period, and discrete-time decay. Recently, more complex structures, such as the random intervention structure, have been proposed. In practice, specifying appropriate random effects can be challenging. Robust variance estimators (RVE) may be applied to linear mixed models to provide consistent estimators of standard errors of fixed effect parameters in the presence of random-effects misspecification. However, there has been no empirical investigation of RVE for SW-CRT. In this paper, we first review five RVEs (both standard and small-sample bias-corrected RVEs) that are available for linear mixed models. We then describe a comprehensive simulation study to examine the performance of these RVEs for SW-CRTs with a continuous outcome under different data generators. For each data generator, we investigate whether the use of a RVE with either the random intercept model or the random cluster-by-period model is sufficient to provide valid statistical inference for fixed effect parameters, when these working models are subject to misspecification. Our results indicate that the random intercept and random cluster-by-period models with RVEs performed similarly. The CR3 RVE estimator, coupled with the number of clusters minus two degrees of freedom correction, consistently gave the best coverage results, but could be slightly anti-conservative when the number of clusters was below 16. We summarize the implications of our results for linear mixed model analysis of SW-CRTs in practice.


翻译:暂无翻译

0
下载
关闭预览

相关内容

Linux导论,Introduction to Linux,96页ppt
专知会员服务
82+阅读 · 2020年7月26日
FlowQA: Grasping Flow in History for Conversational Machine Comprehension
专知会员服务
34+阅读 · 2019年10月18日
Keras François Chollet 《Deep Learning with Python 》, 386页pdf
专知会员服务
164+阅读 · 2019年10月12日
【SIGGRAPH2019】TensorFlow 2.0深度学习计算机图形学应用
专知会员服务
41+阅读 · 2019年10月9日
RL解决'BipedalWalkerHardcore-v2' (SOTA)
CreateAMind
31+阅读 · 2019年7月17日
Hierarchically Structured Meta-learning
CreateAMind
27+阅读 · 2019年5月22日
Transferring Knowledge across Learning Processes
CreateAMind
29+阅读 · 2019年5月18日
Unsupervised Learning via Meta-Learning
CreateAMind
44+阅读 · 2019年1月3日
A Technical Overview of AI & ML in 2018 & Trends for 2019
待字闺中
18+阅读 · 2018年12月24日
disentangled-representation-papers
CreateAMind
26+阅读 · 2018年9月12日
Focal Loss for Dense Object Detection
统计学习与视觉计算组
12+阅读 · 2018年3月15日
IJCAI | Cascade Dynamics Modeling with Attention-based RNN
KingsGarden
13+阅读 · 2017年7月16日
国家自然科学基金
2+阅读 · 2015年12月31日
国家自然科学基金
1+阅读 · 2015年12月31日
国家自然科学基金
0+阅读 · 2015年12月31日
国家自然科学基金
4+阅读 · 2015年12月31日
国家自然科学基金
2+阅读 · 2015年12月31日
国家自然科学基金
3+阅读 · 2015年12月31日
国家自然科学基金
0+阅读 · 2014年12月31日
国家自然科学基金
2+阅读 · 2014年12月31日
国家自然科学基金
6+阅读 · 2014年12月31日
VIP会员
最新内容
2026“人工智能+”行业发展蓝皮书(附下载)
专知会员服务
5+阅读 · 今天12:11
《强化学习数学基础》
专知会员服务
3+阅读 · 今天12:07
“Maven计划”的发展演变之“Maven智能系统”应用
《无人机革命:来自俄乌战场的启示》(报告)
专知会员服务
7+阅读 · 今天6:48
《实现联合作战能力所需的技术》58页报告
专知会员服务
4+阅读 · 今天6:30
以色列运用人工智能优化空袭警报系统
专知会员服务
4+阅读 · 今天6:20
以色列在多条战线部署AI智能体
专知会员服务
5+阅读 · 今天6:12
相关资讯
RL解决'BipedalWalkerHardcore-v2' (SOTA)
CreateAMind
31+阅读 · 2019年7月17日
Hierarchically Structured Meta-learning
CreateAMind
27+阅读 · 2019年5月22日
Transferring Knowledge across Learning Processes
CreateAMind
29+阅读 · 2019年5月18日
Unsupervised Learning via Meta-Learning
CreateAMind
44+阅读 · 2019年1月3日
A Technical Overview of AI & ML in 2018 & Trends for 2019
待字闺中
18+阅读 · 2018年12月24日
disentangled-representation-papers
CreateAMind
26+阅读 · 2018年9月12日
Focal Loss for Dense Object Detection
统计学习与视觉计算组
12+阅读 · 2018年3月15日
IJCAI | Cascade Dynamics Modeling with Attention-based RNN
KingsGarden
13+阅读 · 2017年7月16日
相关基金
国家自然科学基金
2+阅读 · 2015年12月31日
国家自然科学基金
1+阅读 · 2015年12月31日
国家自然科学基金
0+阅读 · 2015年12月31日
国家自然科学基金
4+阅读 · 2015年12月31日
国家自然科学基金
2+阅读 · 2015年12月31日
国家自然科学基金
3+阅读 · 2015年12月31日
国家自然科学基金
0+阅读 · 2014年12月31日
国家自然科学基金
2+阅读 · 2014年12月31日
国家自然科学基金
6+阅读 · 2014年12月31日
Top
微信扫码咨询专知VIP会员