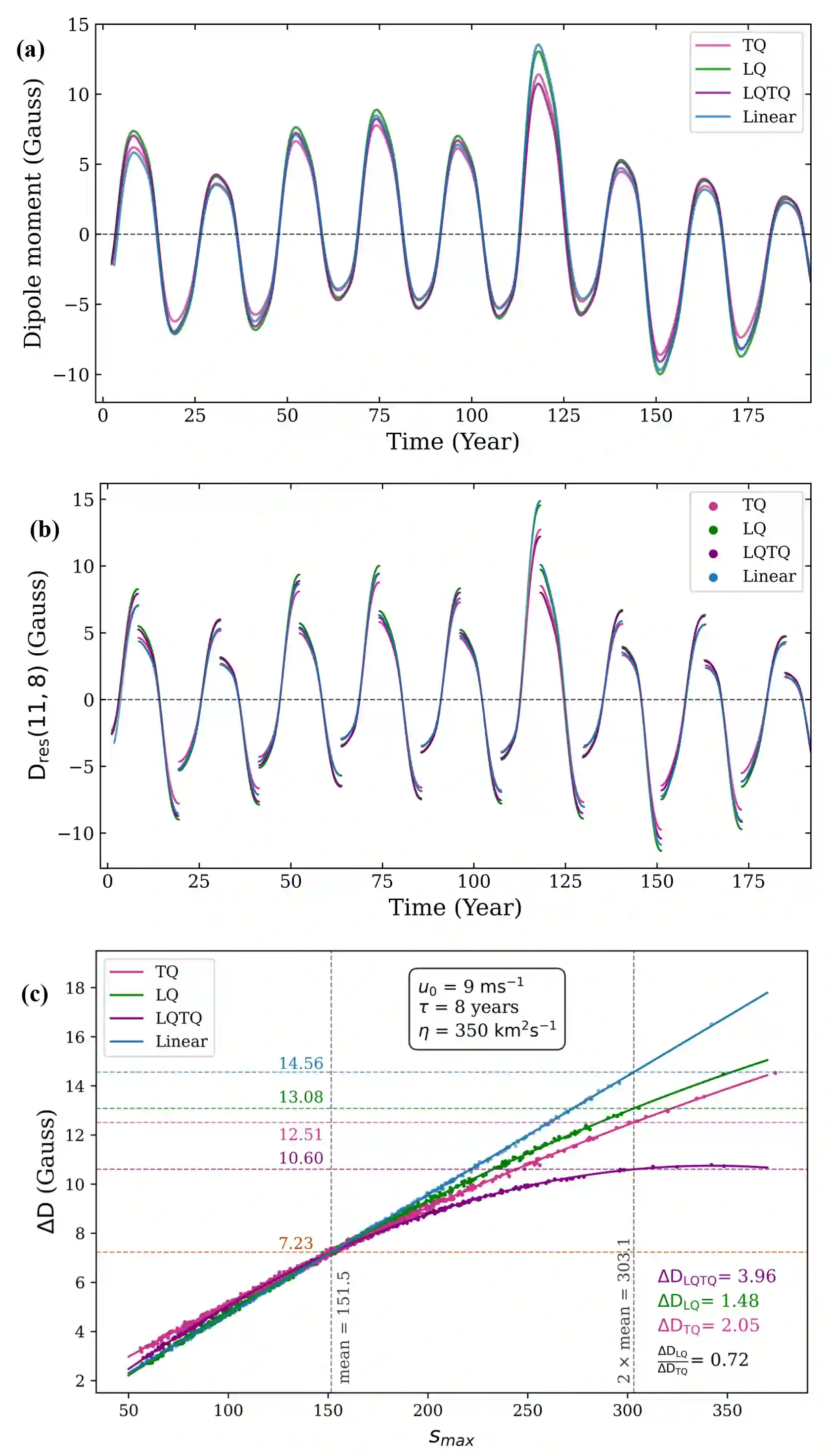
The solar dynamo relies on the regeneration of the poloidal magnetic field through processes strongly modulated by nonlinear feedbacks such as tilt quenching (TQ) and latitude quenching (LQ). These mechanisms play a decisive role in regulating the buildup of the Sun's polar field and, in turn, the amplitude of future solar cycles. In this work, we employ Physics-Informed Neural Networks (PINN) to solve the surface flux transport (SFT) equation, embedding physical constraints directly into the neural network framework. By systematically varying transport parameters, we isolate the relative contributions of TQ and LQ to polar dipole buildup. We use the residual dipole moment as a diagnostic for cycle-to-cycle amplification and show that TQ suppression strengthens with increasing diffusivity, while LQ dominates in advection-dominated regimes. The ratio $ΔD_{\mathrm{LQ}}/ΔD_{\mathrm{TQ}}$ exhibits a smooth inverse-square dependence on the dynamo effectivity range, refining previous empirical fits with improved accuracy and reduced scatter. The results further reveal that the need for a decay term is not essential for PINN set-up due to the training process. Compared with the traditional 1D SFT model, the PINN framework achieves significantly lower error metrics and more robust recovery of nonlinear trends. Our results suggest that the nonlinear interplay between LQ and TQ can naturally produce alternations between weak and strong cycles, providing a physical explanation for the observed even-odd cycle modulation. These findings demonstrate the potential of PINN as an accurate, efficient, and physically consistent tool for solar cycle prediction.


翻译:太阳发电机依赖于通过非线性反馈(如倾角淬灭和纬度淬灭)强烈调制的极向磁场再生过程。这些机制对调控太阳极区磁场的累积以及未来太阳周期的振幅具有决定性作用。本研究采用物理信息神经网络求解表面磁通传输方程,将物理约束直接嵌入神经网络框架。通过系统性地改变传输参数,我们分离了倾角淬灭与纬度淬灭对极区偶极子累积的相对贡献。利用残余偶极矩作为周期间放大的诊断指标,研究表明倾角淬灭抑制效应随扩散率增强而加强,而纬度淬灭在平流主导机制中占主导地位。比值$ΔD_{\mathrm{LQ}}/ΔD_{\mathrm{TQ}}$表现出与发电机效应范围的平滑反平方依赖关系,以更高的精度和更小的离散度改进了先前的经验拟合结果。研究进一步揭示,由于训练过程的特点,在物理信息神经网络设置中衰减项并非必需。与传统一维表面磁通传输模型相比,物理信息神经网络框架实现了显著更低的误差指标和更稳健的非线性趋势恢复能力。我们的结果表明,纬度淬灭与倾角淬灭之间的非线性相互作用可自然产生强弱周期的交替现象,这为观测到的奇偶周期调制提供了物理解释。这些发现证明了物理信息神经网络作为精确、高效且物理自洽的太阳周期预测工具的潜力。

0
下载
关闭预览

相关内容

航天器非脆弱控制理论及应用研究进展
专知会员服务
9+阅读 · 2025年7月8日
神经辐射场加速算法综述
专知会员服务
22+阅读 · 2024年6月1日
能耗优化的神经网络轻量化方法研究进展
专知会员服务
27+阅读 · 2023年1月29日
基于神经网络的偏微分方程求解方法研究综述
专知会员服务
72+阅读 · 2022年12月7日
专知会员服务
74+阅读 · 2021年5月28日
神经网络常微分方程 (Neural ODEs) 解析
AI科技评论
42+阅读 · 2019年8月9日
深入卷积神经网络背后的数学原理
人工智能学家
10+阅读 · 2019年4月26日
SFFAI报告 | 常建龙 :深度卷积网络中的卷积算子研究进展
人工智能前沿讲习班
11+阅读 · 2018年10月22日
国家自然科学基金
0+阅读 · 2015年12月31日
国家自然科学基金
0+阅读 · 2015年12月31日
国家自然科学基金
0+阅读 · 2015年12月31日
国家自然科学基金
0+阅读 · 2015年12月31日
国家自然科学基金
0+阅读 · 2015年12月31日
国家自然科学基金
0+阅读 · 2014年12月31日
国家自然科学基金
0+阅读 · 2014年12月31日
Arxiv
0+阅读 · 2月4日
VIP会员
最新内容
美国当前高超音速导弹发展概述
专知会员服务
3+阅读 · 4月19日
无人机蜂群建模与仿真方法
专知会员服务
4+阅读 · 4月19日
澳大利亚发布《国防战略(2026年)》
专知会员服务
2+阅读 · 4月19日
全球高超音速武器最新发展趋势
专知会员服务
2+阅读 · 4月19日
相关基金
国家自然科学基金
0+阅读 · 2015年12月31日
国家自然科学基金
0+阅读 · 2015年12月31日
国家自然科学基金
0+阅读 · 2015年12月31日
国家自然科学基金
0+阅读 · 2015年12月31日
国家自然科学基金
0+阅读 · 2015年12月31日
国家自然科学基金
0+阅读 · 2014年12月31日
国家自然科学基金
0+阅读 · 2014年12月31日
Top
微信扫码咨询专知VIP会员